全部版块 我的主页
论坛 数据科学与人工智能 数据分析与数据科学 R语言论坛
2860 1
2016-12-13
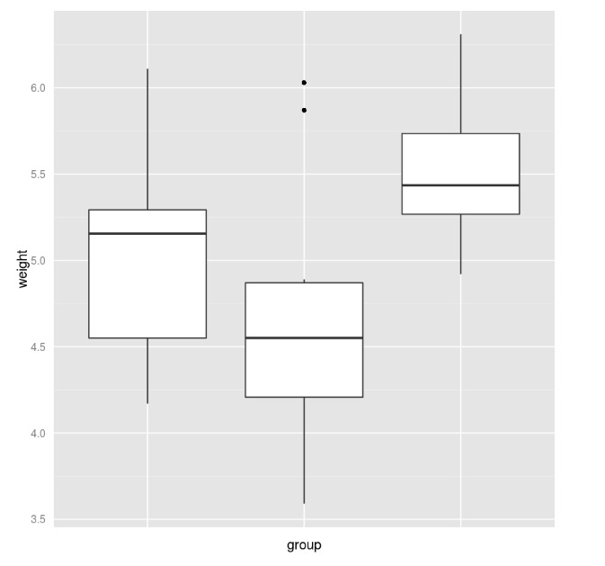
首先构建一个用于演示处理的经典箱线图,图中的数据源自内置的数据集PlantGrowth
复制代码
1.png
交换X轴与Y轴

接下来,演示如何实现x轴与y轴的互换(将x轴作为纵轴,y轴作为横轴):

复制代码

2.png

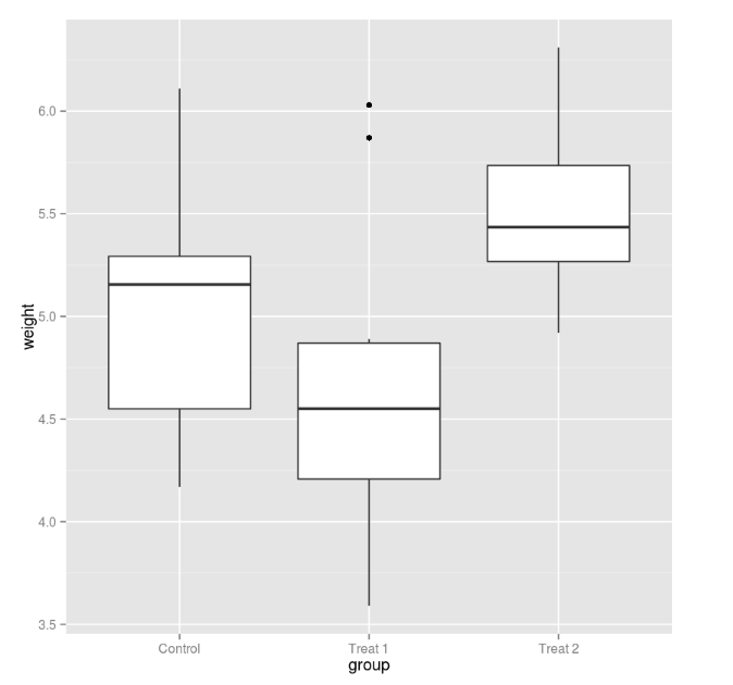
离散型坐标轴处理改变样本在轴上的排列次序
复制代码
3.png
复制代码
4.png
复制代码
5.png
复制代码
设置刻度标记

对应离散型变量,坐标轴上的刻度标记就是其因素层级本身,但是有时候这些因素层级会以变量的简称命名,在图表中我们更希望能够把它们的全称置于坐标轴的刻度标记上。

复制代码

6.png

复制代码

7.png

复制代码

8.png

连续型坐标轴处理设置坐标轴范围与方向

如果你只是想简单的确保某个值被包含在坐标轴的范围内,那么你可以使用expand_limits()函数,这个函数可以用来扩大坐标轴的范围,但不能用于缩小它。

复制代码

9.png

复制代码

10.png

我们也可以明确地指定y轴的值域范围,这里需要注意的是,当我们使用了scale_y_continuous命令时,原本的ylim命令将会被覆盖。

复制代码

11.png

原文内容较多,今天先搬运到这,感兴趣的同学可以直接访问 数析学院 网站继续学习



二维码

扫码加我 拉你入群

请注明:姓名-公司-职位

以便审核进群资格,未注明则拒绝

全部回复
2016-12-13 13:28:51
二维码

扫码加我 拉你入群

请注明:姓名-公司-职位

以便审核进群资格,未注明则拒绝

相关推荐
栏目导航
热门文章
推荐文章

说点什么

分享

扫码加好友,拉您进群
各岗位、行业、专业交流群