经管之家App
让优质教育人人可得
立即打开
全部版块
我的主页
›
论坛
›
经济学论坛 三区
›
微观经济学
请问使用Kuhn-Tucker定理求解道德风险特殊模型的边际报酬的一般形式是什么?
楼主
jdzz
1321
2
收藏
2016-12-19
悬赏
50
个论坛币
未解决
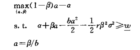
我知道以下规划
的结果为
不知第一个规划与第二个是什么关系,在线急等!!!
扫码加我 拉你入群
请注明:姓名-公司-职位
以便审核进群资格,未注明则拒绝
全部回复
沙发
jdzz
2016-12-19 19:31:46
希望有人回复,简单些也可
扫码加我 拉你入群
请注明:姓名-公司-职位
以便审核进群资格,未注明则拒绝
藤椅
jdzz
2016-12-19 22:50:22
希望有人回复,简单些也可
扫码加我 拉你入群
请注明:姓名-公司-职位
以便审核进群资格,未注明则拒绝
相关推荐
什么是Kuhn-Tucker?
Kuhn_Tucker条件的应用 论文(中国期刊网)
求高手解释一下Kuhn tucker条件
谁能介绍一下Kuhn-Tucker定理
求教kuhn-tucker条件
库恩-塔克定理(Kuhn-Tucker)的直观解释
复旦管院有动作
kuhn-tucker定理的证明.pdf
SOS!!! Help!!!Tucker3模型
应用组合学 Alan Tucker 中文第五版 英文第六版 带目录
栏目导航
微观经济学
经管文库(原现金交易版)
经管高考
学道会
行业分析报告
LISREL、AMOS等结构方程模型分析软件
热门文章
CDA考试模拟题库:新增章节练习题(更新于1 ...
【AI Agent可靠性】 智能体Agent记忆系统: ...
全球数字经贸规则年度观察报告(2025年)
2025骑行配件出海研究报告
股市操练大全PDF版
25秋投资学回忆
2025年10月全球金融稳定报告(英)
PromptCoT-2.0-SFT-4.8M 监督微调提示 SFT ...
2025重塑人工智能时代的绩效管理报告-美世
2025年中国商业地产行业市场洞察报告
推荐文章
AI狂潮席卷学术圈,不会编程也能打造专属智 ...
10月重磅来袭|《打造Coze/Dify专属学术智能 ...
最快1年拿证,学费不足5W!热门美国人工智能 ...
关于如何利用文献的若干建议
关于学术研究和论文发表的一些建议
关于科研中如何学习基础知识的一些建议 (一 ...
一个自编的经济学建模小案例 --写给授课本科 ...
AI智能体赋能教学改革: 全国AI教育教学应用 ...
2025中国AIoT产业全景图谱报告-406页
关于文献求助的一些建议
说点什么
分享
微信
QQ空间
QQ
微博
扫码加好友,拉您进群
各岗位、行业、专业交流群