全部版块 我的主页
论坛 计量经济学与统计论坛 五区 计量经济学与统计软件
1114 5
2017-02-24
公式
二维码

扫码加我 拉你入群

请注明:姓名-公司-职位

以便审核进群资格,未注明则拒绝

全部回复
2017-2-24 10:21:39
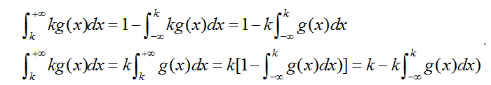
上面这个公式,哪里出问题了啊?[sweat]
二维码

扫码加我 拉你入群

请注明:姓名-公司-职位

以便审核进群资格,未注明则拒绝

2017-2-24 12:19:25
kg(x)在[-Inf,Inf]上的积分为1的话,g(x)在[-Inf,Inf]上的积分为1/k。因而第二行第三步错
二维码

扫码加我 拉你入群

请注明:姓名-公司-职位

以便审核进群资格,未注明则拒绝

2017-2-25 02:24:53
上面这个公式 K=1
二维码

扫码加我 拉你入群

请注明:姓名-公司-职位

以便审核进群资格,未注明则拒绝

2017-3-1 13:32:54
nuomin 发表于 2017-2-24 12:19
kg(x)在[-Inf,Inf]上的积分为1的话,g(x)在[-Inf,Inf]上的积分为1/k。因而第二行第三步错
“kg(x)在[-Inf,Inf]上的积分为1的话”,这句话该怎么理解呢?能不能从公式推理的角度说明后面的错了呢?
二维码

扫码加我 拉你入群

请注明:姓名-公司-职位

以便审核进群资格,未注明则拒绝

2017-3-1 13:33:21
crame88 发表于 2017-2-25 02:24
上面这个公式 K=1
为什么K=1啊??
二维码

扫码加我 拉你入群

请注明:姓名-公司-职位

以便审核进群资格,未注明则拒绝

栏目导航
热门文章
推荐文章

说点什么

分享

扫码加好友,拉您进群
各岗位、行业、专业交流群