黃河泉 发表于 2017-3-3 15:30 
也祝你顺利!
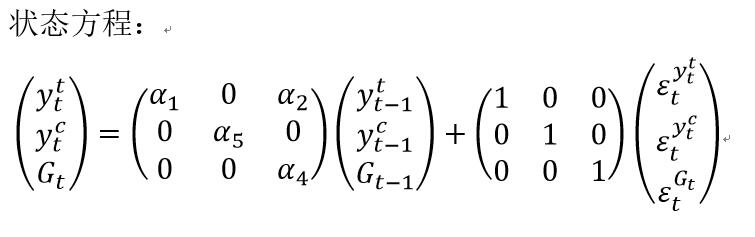
黄老师,我来交作业了。麻烦您帮我看看我现在是什么问题。
首先我建立了模型

但是在改写成矩阵形式的时候我发现有一项,稳态时的经济潜在增长,不知道该放在哪里,,,
后来我决定不要那一项了。这是我第一个问题,不知道它该放在哪。
开始写命令,这是我的命令
*-------------------------------------------------------------------------------
*三、状态空间模型法
use 1990-2015Y, clear
*------------------------
*处理数据
*------------------------
gen lnY = ln(Y)
label var lnY 实际产出对数
*-----------------------
*建立模型
*-----------------------
constraint 1 [lnY]u1 = 1
constraint 2 [lnY]u2 = 1
constraint 3 [u1 ]e.u1=1
constraint 4 [u2 ]e.u2=1
constraint 5 [u3 ]e.u3=1
sspace (u1 L.u1 u3 e.u1, state noconstant) ///
(u2 L.u2 e.u2, state noconstant) ///
(u3 L.u3 e.u3, state) ///
(lnY u1 u2, noconstant), ///
constraints(1/5)
*------------------------------------------------------------------------------------------------
但是还是有问题,stata提示说
only L.u3 is allowed in state equations
尝试着把 (u1 L.u1 u3 e.u1, state noconstant) 这个改成了 (u1 L.u1 e.u1, state noconstant)
也就是去掉了第一个状态方程里的u3
然后可以运算了
但是出现了这个
optimization terminated because of numerical instability: Hessian is not negative semidefinite
这是第二个问题。为什么只有L.u3在状态方程里被允许。
麻烦您看下,能不能告诉我这是什么原因,多谢多谢。