全部版块 我的主页
论坛 提问 悬赏 求职 新闻 读书 功能一区 经管百科 爱问频道
2427 16
2017-03-05
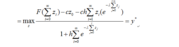
z0是单独的,当大于零时所有的z都相等,即zs=zs+1,s>0,已经求出一个z0与zs的关系式了,不知道后面的表达式是怎么求出来的,求大神指点 S%JG@L~GM%DTSOWUS{9)UMU.png 53B2NZDQV]YN06I[QS@(LHB.png IC69OB[]$C51[`SU(M($P(H.png
二维码

扫码加我 拉你入群

请注明:姓名-公司-职位

以便审核进群资格,未注明则拒绝

全部回复
2017-3-5 03:22:05
xujiadebeiying 发表于 2017-3-5 03:18
z0是单独的,当大于零时所有的z都相等,即zs=zs+1,s>0,已经求出一个z0与zs的关系式了,不知道后面的表达式 ...
给我求出来过程,我送50论坛币
二维码

扫码加我 拉你入群

请注明:姓名-公司-职位

以便审核进群资格,未注明则拒绝

2017-3-5 05:12:47
能说一下原始问题么?
二维码

扫码加我 拉你入群

请注明:姓名-公司-职位

以便审核进群资格,未注明则拒绝

2017-3-5 10:03:08
foozhencheng 发表于 2017-3-5 05:12
能说一下原始问题么?
传了附件
二维码

扫码加我 拉你入群

请注明:姓名-公司-职位

以便审核进群资格,未注明则拒绝

2017-3-5 10:21:28
原始问题
附件列表
1.png

原图尺寸 18.23 KB

1.png

二维码

扫码加我 拉你入群

请注明:姓名-公司-职位

以便审核进群资格,未注明则拒绝

2017-3-5 10:23:16
zs表示所有大于零时的z
二维码

扫码加我 拉你入群

请注明:姓名-公司-职位

以便审核进群资格,未注明则拒绝

点击查看更多内容…
栏目导航
热门文章
推荐文章

说点什么

分享

扫码加好友,拉您进群
各岗位、行业、专业交流群