经管之家App
让优质教育人人可得
立即打开
全部版块
我的主页
›
论坛
›
数据科学与人工智能
›
数据分析与数据科学
›
SPSS论坛
岭回归 岭参数选择 变量选取问题,新手求帮助
楼主
lalala121
1169
0
收藏
2017-03-11
悬赏
1
个论坛币
未解决
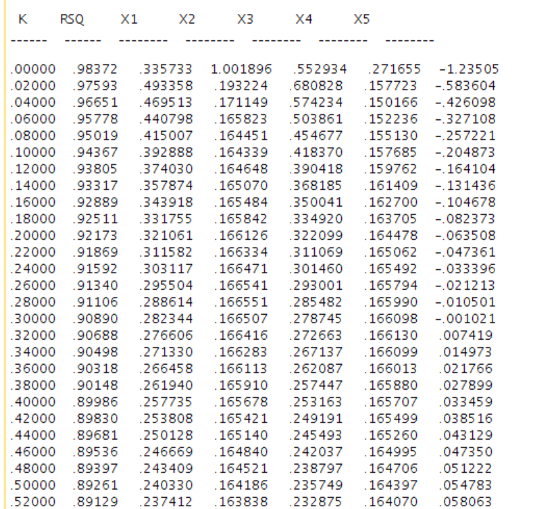
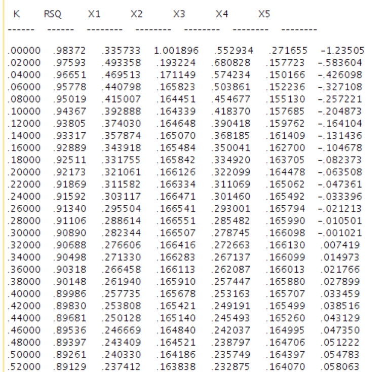
在附件里
怎么选择岭参数、要不要剔除变量???
03.png
原图尺寸 341.07 KB
02.png
原图尺寸 50.65 KB
01.png
原图尺寸 95.21 KB
扫码加我 拉你入群
请注明:姓名-公司-职位
以便审核进群资格,未注明则拒绝
相关推荐
基于股指期货的套期保值策略:参数选择、最优套头比估计以及动态调整
招商证券——基于股指期货的套期保值策略:参数选择、最优套头比估计以及动态调整
变量选取问题
求高手请教关于C-D模型变量选取问题
使用SVM的参数选择程序结果不出参数粗略选择结果图,求助
调节参数选择及选择后的参数估计
流形学习算法中的参数选择问题研究
控制变量选取
求助内容:企业并购实证中变量选取相关问题
TIG焊接工艺参数选择方法
栏目导航
SPSS论坛
经管文库(原现金交易版)
行业分析报告
悬赏大厅
真实世界经济学(含财经时事)
金融实务版
热门文章
CDA数据分析师实战:因子分析的业务应用与落 ...
奇瑞,打出新王牌!
告别熬夜头秃!3天论文特训,实现从“无从下 ...
助力高阶认证备考!CDA 三级新上线第一套官 ...
CDA数据分析脱产就业班于2025年12月08日开班 ...
《财经论丛》投稿与录用过程
如盈财女:1.15今日黄金、原油反弹拉高继续 ...
全球高校名单数据
《AI+医疗治理白皮书2026》
2026十大AI技术趋势
推荐文章
【必看】【本版版规,欢迎发悬赏贴求助】
26年寒假天津站|Gemini论文写作&数据分析 ...
2026JG学术冬训营:从Stata初高到Python机器 ...
关于如何利用文献的若干建议
关于学术研究和论文发表的一些建议
关于科研中如何学习基础知识的一些建议 (一 ...
一个自编的经济学建模小案例 --写给授课本科 ...
AI智能体赋能教学改革: 全国AI教育教学应用 ...
2025中国AIoT产业全景图谱报告-406页
关于文献求助的一些建议
说点什么
分享
微信
QQ空间
QQ
微博
扫码加好友,拉您进群
各岗位、行业、专业交流群