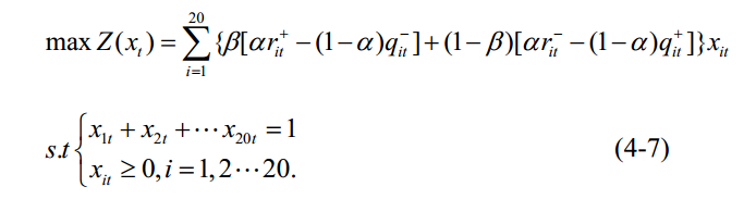
我求解的模型如下所示
 
然后xit的系数为
-0.06274 -0.05968 -0.03815 -0.05609 -0.06311 0.08797 -0.06604 -0.04391 -0.08067 -0.07494 -0.06767 -0.04863 -0.06126 -0.05793 -0.05762 -0.04939 -0.06353 -0.05796 -0.07369 -0.04671
我的程序如下所示
这是我最后的结果
x =
    0.0000
    0.0000
    0.0000
    0.0000
    0.0000
    0.0000
    0.0000
    0.0000
    1.0000
    0.0000
    0.0000
    0.0000
    0.0000
    0.0000
    0.0000
    0.0000
    0.0000
    0.0000
    0.0000
    0.0000
fval =
   -0.0807
maxf =
    0.0807
但是和正确的答案不一样,不知道问题出在哪里,希望大神帮个忙吧,毕业论文要用,谢谢啦