经管之家App
让优质教育人人可得
立即打开
全部版块
我的主页
›
论坛
›
经济学论坛 三区
›
产业经济学
最佳窗宽选择方法
楼主
ly就是我0382
1596
0
收藏
2017-05-05
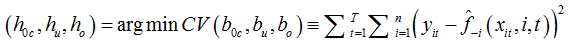
在非参数线性估计中加入个体和时间变量后,如何用LSCV法确定最佳窗宽?
附件列表
AF0)_FNOBVFD8()W54AK[4X.png
原图尺寸 4.27 KB
扫码加我 拉你入群
请注明:姓名-公司-职位
以便审核进群资格,未注明则拒绝
相关推荐
[灌水]不知道有没有人学R语言呢?
有没有人卖考博的书
关于非对称最小二乘
复旦的博士报名网站为什么注册不了啊?
为什么我的数学卷子和别人的不一样?有没有人有这个情况啊?
请教“盖凯美元”及其使用
LSCV最小二乘交叉纠正
有没有人会爬取wos的被引次数数据啊
求问这道关于外汇的题目
栏目导航
产业经济学
管理科学与工程
金融学(理论版)
求助成功区
行业分析报告
人工智能论文版
热门文章
CDA数据分析脱产就业班于2026年3月7日开班! ...
表格结构数据的核心特征及具象实例解析
中外历史年代对照表
湖南统计年鉴2025(Excel版)
高效办公—Word零基础教程
中国提振消费的战略选择与国际经验,提振消 ...
2026太空算力发展研究报告
Measure Theory for Analysis and Probabil ...
【24顶刊热点!】2000-2024上市公司股价崩盘 ...
高教现代数学基础23 矩阵计算六讲 徐树方,钱 ...
推荐文章
2026JG学术冬训营:从Stata初高到Python机器 ...
【必看】【本版版规,欢迎发悬赏贴求助】
26年寒假天津站|Gemini论文写作&数据分析 ...
关于如何利用文献的若干建议
关于学术研究和论文发表的一些建议
关于科研中如何学习基础知识的一些建议 (一 ...
一个自编的经济学建模小案例 --写给授课本科 ...
AI智能体赋能教学改革: 全国AI教育教学应用 ...
2025中国AIoT产业全景图谱报告-406页
关于文献求助的一些建议
说点什么
分享
微信
QQ空间
QQ
微博
扫码加好友,拉您进群
各岗位、行业、专业交流群