全部版块 我的主页
论坛 计量经济学与统计论坛 五区 计量经济学与统计软件 LISREL、AMOS等结构方程模型分析软件
1122 1
2017-07-14
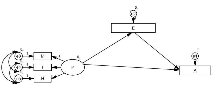
这个模型运行输出:The model is probably unidentified. In order to achieve identifiability, it will probably be necessary to impose 1 additional constraint.Model Fit Summary
CMIN

Model

NPARCMINDFPCMIN/DF

Saturated model

20.0000

Independence model

51298.00415.00086.534
Baseline Comparisons

Model

NFI
Delta1
RFI
rho1
IFI
Delta2
TLI
rho2
CFI

Saturated model

1.0001.0001.000

Independence model

.000.000.000.000.000
Parsimony-Adjusted Measures

Model

PRATIOPNFIPCFI

Saturated model

.000.000.000

Independence model

1.000.000.000
NCP

Model

NCPLO 90HI 90

Saturated model

.000.000.000

Independence model

1283.0041168.4691404.910
FMIN

Model

FMINF0LO 90HI 90

Saturated model

.000.000.000.000

Independence model

.882.872.794.955
RMSEA

Model

RMSEALO 90HI 90PCLOSE

Independence model

.241.230.252.000
AIC

Model

AICBCCBICCAIC

Saturated model

40.00040.164

Independence model

1308.0041308.045
ECVI

Model

ECVILO 90HI 90MECVI

Saturated model

.027.027.027.027

Independence model

.889.811.972.889
HOELTER

Model

HOELTER
.05
HOELTER
.01

Independence model

2935

Execution time summary

Minimization:

.003

Miscellaneous:

.190

Bootstrap:

.000

Total:

.193



QQ截图20170714143418.jpg

残差项如果不连,模型拟合不好。两两相连就报错。
二维码

扫码加我 拉你入群

请注明:姓名-公司-职位

以便审核进群资格,未注明则拒绝

全部回复
2017-7-28 14:13:51
不可设置残差相关,因为你自由度不够,至少你的df应当为0(恰好识别模型)才能拟合。
二维码

扫码加我 拉你入群

请注明:姓名-公司-职位

以便审核进群资格,未注明则拒绝

栏目导航
热门文章
推荐文章

说点什么

分享

扫码加好友,拉您进群
各岗位、行业、专业交流群