全部版块 我的主页
论坛 休闲区 十二区 休闲灌水
1487 5
2017-07-14

财务估价修正是什么_ DCF估价模型_估价模型与会计信息




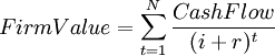
DCF估价模型
  DCF估价模型(DCF,Discounted Cash Flow)

2af05d90d5b3f00167b9cb56d68cf1ca.png

  (1)现金流量。指流向股东和债权人的现金流量合计,即息前税后利润在满足再投资需求之后的剩余现金流量,又称公司自由现金流量(FCFF,Free Cash Flow to the Firm)。

  公司自由现金流量=息税前利润X(l-所得税税率)-(资本性支出-折旧)-非现金营运资本变动

  资本性支出即投资于(或购买)长期资产的支出;资本性支出一折旧一净资本支出;r反映融资组合成本与风险的折现率;N表示估价期限。

  净资本支出及非现金营运资本的增加,代表着为产生当期及未来收益增长而进行的再投资,故可将这两项合并用“再投资率”表示,从而,

  公司自由现金流量=息税前利润X(1-所得税税率)X(1-再投资率)

  (2)预期增长率。营业利润的预期增长取决于再投资率和再投资回报水平。

  营业利润的预期增长=再投资率X资本收益率

  资本收益率=息税前利润X(1-所得税税率)/投入资本

  再投资率=(净资本支出+非现金营运资本变动)/[息税前利润x(1-所得税税率)]

估价模型与会计信息
  DCF估价模型的基本输入变量有:息税前利润、所得税税率、资本性支出、营运资本、息税前利润的预期增长率、资本成本、资本收益率等。将上述基本变量进一步展开,我们可以得到一系列会计项目,并将这些项目与会计信息复杂性联系起来考虑,估计其复杂程度。降低会计信息复杂性,将有助于公司的真实价值被市场发现和认可,降低其在市场中运行的成本与风险。例如,根据DCF模型,公司的预期增长应是再投资率与投资回报率的函数。如果公司通过特别目的实体掩藏投资,则财务估价模型的输入变量之一预期增长将无法得到,则无法真实地评估公司价值。为估计公司的加权平均资本成本,需要知道公司债务的成本。如果公司通过制造复杂的会计信息来隐藏其债务,则将低估公司的违约风险,从而虚假地降低其资本成本。这也意味着会计信息复杂性影响着公司的真实价值。

二维码

扫码加我 拉你入群

请注明:姓名-公司-职位

以便审核进群资格,未注明则拒绝

全部回复
2017-7-15 10:31:35
二维码

扫码加我 拉你入群

请注明:姓名-公司-职位

以便审核进群资格,未注明则拒绝

2017-7-15 16:05:21
大家有什么好看法,赶快说说
二维码

扫码加我 拉你入群

请注明:姓名-公司-职位

以便审核进群资格,未注明则拒绝

2017-7-15 16:55:26
二维码

扫码加我 拉你入群

请注明:姓名-公司-职位

以便审核进群资格,未注明则拒绝

2017-7-15 16:55:47
二维码

扫码加我 拉你入群

请注明:姓名-公司-职位

以便审核进群资格,未注明则拒绝

2017-7-15 17:36:23
好贴,楼主辛苦了
二维码

扫码加我 拉你入群

请注明:姓名-公司-职位

以便审核进群资格,未注明则拒绝

相关推荐
栏目导航
热门文章
推荐文章

说点什么

分享

扫码加好友,拉您进群
各岗位、行业、专业交流群