全部版块 我的主页
论坛 提问 悬赏 求职 新闻 读书 功能一区 经管百科 爱问频道
2956 9
2017-07-18
悬赏 500 个论坛币 未解决
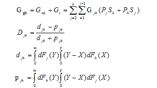
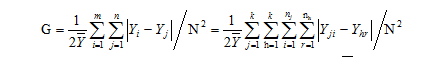
请教各位高手,关于分解的基尼系数如何计算的问题。
要求:想按4个区域(每个区域有几个省份)计算总的基尼系数(G)及其分解,分解的基尼系数想要计算得到区域内差距(Gw)、区域间差距(Gnb)和区域间超变密度差距(Gt),不知道应该如何做。计算公式如下:
1.png
2.png
3.png
4.png
5.png

数据贴在附件里了
数据大概这样   id是15个省市代码、region是将15个省市分成4个区域,Y 是人均收入。
请高手指教!



基尼系数求解.xlsx

大小:12.45 KB

 马上下载

数据

二维码

扫码加我 拉你入群

请注明:姓名-公司-职位

以便审核进群资格,未注明则拒绝

全部回复
2017-11-9 16:55:53
提示: 作者被禁止或删除 内容自动屏蔽
二维码

扫码加我 拉你入群

请注明:姓名-公司-职位

以便审核进群资格,未注明则拒绝

2018-9-12 00:32:33
你解决了吗?我急切需求啊!!!2370289666 QQ,麻烦了
二维码

扫码加我 拉你入群

请注明:姓名-公司-职位

以便审核进群资格,未注明则拒绝

2018-9-12 00:33:13
你解决了吗?我急切需求啊!!!2370289666 QQ,麻烦了
二维码

扫码加我 拉你入群

请注明:姓名-公司-职位

以便审核进群资格,未注明则拒绝

2018-9-12 01:03:42
你解决了吗?我急切需求啊!!!2370289666 QQ,麻烦了
二维码

扫码加我 拉你入群

请注明:姓名-公司-职位

以便审核进群资格,未注明则拒绝

2020-7-29 02:06:11
我有,联系qq963358712
二维码

扫码加我 拉你入群

请注明:姓名-公司-职位

以便审核进群资格,未注明则拒绝

点击查看更多内容…
栏目导航
热门文章
推荐文章

说点什么

分享

扫码加好友,拉您进群
各岗位、行业、专业交流群