经管之家App
让优质教育人人可得
立即打开
全部版块
我的主页
›
论坛
›
计量经济学与统计论坛 五区
›
计量经济学与统计软件
›
Stata专版
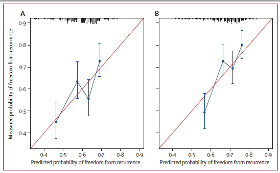
请问下图能用stata做吗?
楼主
alasaa
788
0
收藏
2017-07-22
请问此图能用stata做吗?想做logit模型的,似乎叫Calibration curve
纵坐标是模型预测的发生率,横坐标是实际数据预测的发生率?
谢谢各位老师!
扫码加我 拉你入群
请注明:姓名-公司-职位
以便审核进群资格,未注明则拒绝
相关推荐
关于STATA无法识别变量数据的问题
求助!stata
stata如何批量输出发生比的数据呢?
STATA里面的卡方检验
如何在stata里面做交互项
Stata零基础到精通!良心资料!无效退款!!
【求助】请教各位大佬,Stata中如何划分训练集和测试集呢?
stata嵌套排序运用
永久有效-Stata17.0-MP 64核心顶配版(含Win&Mac两种版本)
新手小白福音:stata代码命令大全
栏目导航
Stata专版
金融实务版
求助成功区
文献求助专区
经管文库(原现金交易版)
休闲灌水
热门文章
CDA 数据分析师:线性回归实战指南 —— 从 ...
2025中国播客行业现状与发展趋势报告
2025年三季度中国消费者消费意愿调查报告
“十五五”规划建议稿解读:乘势而上,因势 ...
奇瑞首夺J.D.Power-VDS自主冠军
金钱心理学:财富、人性和幸福的永恒真相 ( ...
【推荐】上市公司投资者信心指数计算Stata代 ...
美容护理:积雪草科学护肤白皮书
中国口服维生素保健品市场分析报告(简版)
2025中国冷链物流发展报告2025论坛首发
推荐文章
AI狂潮席卷学术圈,不会编程也能打造专属智 ...
10月重磅来袭|《打造Coze/Dify专属学术智能 ...
最快1年拿证,学费不足5W!热门美国人工智能 ...
关于如何利用文献的若干建议
关于学术研究和论文发表的一些建议
关于科研中如何学习基础知识的一些建议 (一 ...
一个自编的经济学建模小案例 --写给授课本科 ...
AI智能体赋能教学改革: 全国AI教育教学应用 ...
2025中国AIoT产业全景图谱报告-406页
关于文献求助的一些建议
说点什么
分享
微信
QQ空间
QQ
微博
扫码加好友,拉您进群
各岗位、行业、专业交流群