经管之家App
让优质教育人人可得
立即打开
全部版块
我的主页
›
论坛
›
提问 悬赏 求职 新闻 读书 功能一区
›
经管百科
›
爱问频道
数据分析
楼主
果果spring
596
0
收藏
2017-11-03
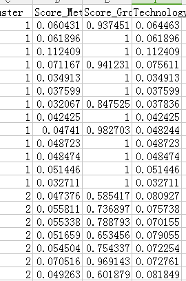
紧急求助:刚才用MaxDEA测算的效率中,多数的共同前沿效率值为0.0几,怎么回事呀!求大神指导一下,谢谢。
扫码加我 拉你入群
请注明:姓名-公司-职位
以便审核进群资格,未注明则拒绝
相关推荐
紧急求助!面板数据分析!
紧急求助,求好心人帮帮忙!!!
【紧急求助】如何进行两种不同类型的数据分析?
2011年1-6月全国塑料制品产量数据分析
数据分析的三点式
紧急求助。关于数据分析
作为数据分析新人,求指导
紧急求助,3年的数据30个截面,能做面板数据分析吗
数据分析竞争法 企业赢之道
DEA(MaxDEA)
栏目导航
爱问频道
经管文库(原现金交易版)
金融实务版
马克思主义经济学
stata专版
行业分析报告
热门文章
CDA 数据分析师:主成分分析(PCA)实战指南 ...
中国城市建设统计年鉴2002-2024 中国城乡建 ...
An Introduction to Mathematical Analysis ...
Management 16th Edition by Stephen P. Ro ...
Dubbo视频教程,一定要学会的技能
2021央视牛年春晚观后感(8篇)
2020年工作职场励志语录
新手第一篇帖子
Managing for Quality and Performance Exc ...
閒話晚清以來的中外通婚潮流
推荐文章
AI狂潮席卷学术圈,不会编程也能打造专属智 ...
最快1年拿证,学费不足5W!热门美国人工智能 ...
关于如何利用文献的若干建议
关于学术研究和论文发表的一些建议
关于科研中如何学习基础知识的一些建议 (一 ...
一个自编的经济学建模小案例 --写给授课本科 ...
AI智能体赋能教学改革: 全国AI教育教学应用 ...
2025中国AIoT产业全景图谱报告-406页
关于文献求助的一些建议
几种免费下载文献的方法----我的文献应助经
说点什么
分享
微信
QQ空间
QQ
微博
扫码加好友,拉您进群
各岗位、行业、专业交流群