全部版块 我的主页
论坛 计量经济学与统计论坛 五区 计量经济学与统计软件
990 0
2017-11-15

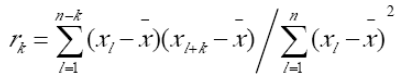
时间序列的自相关系数计算公式是:

zxg.png

面板数据,是截面数据与时间序列数据综合起来的一种数据类型。那么面板数据能像时间序列这样计算自相关系数吗?谢谢大家!


二维码

扫码加我 拉你入群

请注明:姓名-公司-职位

以便审核进群资格,未注明则拒绝

栏目导航
热门文章
推荐文章

说点什么

分享

扫码加好友,拉您进群
各岗位、行业、专业交流群