经管之家App
让优质教育人人可得
立即打开
全部版块
我的主页
›
论坛
›
数据科学与人工智能
›
数据分析与数据科学
›
MATLAB等数学软件专版
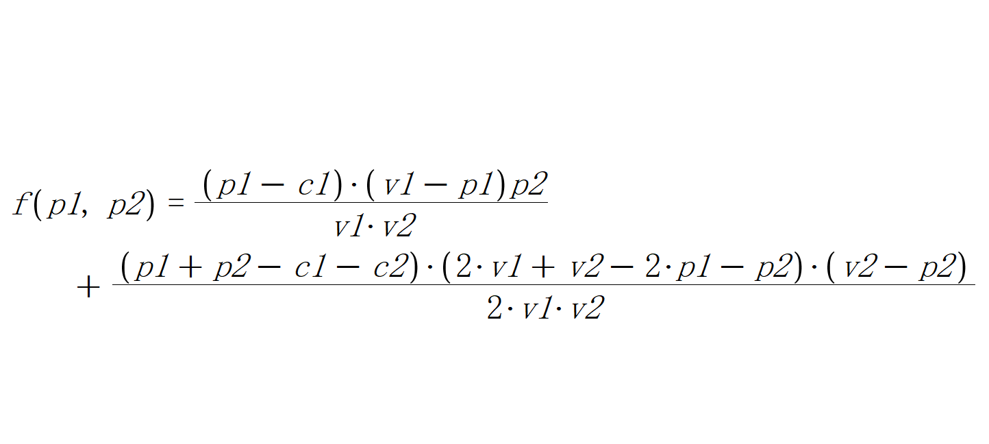
怎样用maple求如图所示函数的极值及其取得极值时p1和p2的值?
楼主
小陈9090
1901
1
收藏
2017-11-29
悬赏
5
个论坛币
未解决
在线等,好着急!
扫码加我 拉你入群
请注明:姓名-公司-职位
以便审核进群资格,未注明则拒绝
全部回复
沙发
小陈9090
2017-11-29 08:58:47
小陈9090 发表于 2017-11-29 08:48
在线等,好着急!
可发红包以示感谢!
扫码加我 拉你入群
请注明:姓名-公司-职位
以便审核进群资格,未注明则拒绝
相关推荐
大家有没有用过Maple这个软件啊?
Maple11多语言破解版
求助:maple画图不够光滑的原因
Maple 教程教学资料
maple写的关于金融几个模型的程序
科研软件:Maple11学习
求用maple画趋势轨迹图的命令
Maple编程时如何调试计算过程
求maple 64位破解版
栏目导航
MATLAB等数学软件专版
商学院
经管文库(原现金交易版)
论文版
爱问频道
教师之家与经管教育
热门文章
CDA数据分析师:以数据思维赋能企业管理,驱 ...
CDA全国考点信息一览(更新于2025年12月10日 ...
企业级AI平台发展趋势报告(2026)
【24重磅,顶刊热点!】2001-2024上市公司大数 ...
当AI遇见ML:高校教师如何借助AI与机器学习 ...
CDA 认证考试大纲 2025 重磅更新:一二级考 ...
CDA数据分析师实战:指标体系搭建的全流程方 ...
Essentials of Statistics for Research by ...
Navigating Qualitative Research: A Compr ...
2026年市场展望报告-机遇与挑战并存
推荐文章
12月武汉站|Deepseek辅助论文写作与数据分 ...
2026JG学术冬训营:从Stata初高到Python机器 ...
关于如何利用文献的若干建议
关于学术研究和论文发表的一些建议
关于科研中如何学习基础知识的一些建议 (一 ...
一个自编的经济学建模小案例 --写给授课本科 ...
AI智能体赋能教学改革: 全国AI教育教学应用 ...
2025中国AIoT产业全景图谱报告-406页
关于文献求助的一些建议
几种免费下载文献的方法----我的文献应助经
说点什么
分享
微信
QQ空间
QQ
微博
扫码加好友,拉您进群
各岗位、行业、专业交流群