全部版块 我的主页
论坛 计量经济学与统计论坛 五区 计量经济学与统计软件
2513 3
2018-01-26
随机前沿生产函数取对数后,用Frontier4.1软件运行有几个关于T的贝塔系数是用什么数值回归的啊 ?是年份还是什么?请求各位大佬指点
二维码

扫码加我 拉你入群

请注明:姓名-公司-职位

以便审核进群资格,未注明则拒绝

全部回复
2018-1-26 20:10:11
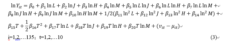
这个是具体生产函数,其中贝塔15-20中都包含T,请问T是输入什么呢
附件列表
微信图片_20180126200840.png

原图尺寸 11.9 KB

这个是具体生产函数,其中贝塔15-20中都包含T,请问T是输入什么呢

这个是具体生产函数,其中贝塔15-20中都包含T,请问T是输入什么呢

二维码

扫码加我 拉你入群

请注明:姓名-公司-职位

以便审核进群资格,未注明则拒绝

2018-1-27 10:31:16
t是指年份
二维码

扫码加我 拉你入群

请注明:姓名-公司-职位

以便审核进群资格,未注明则拒绝

2019-7-8 12:31:04
Ireneleen 发表于 2018-1-26 20:10
这个是具体生产函数,其中贝塔15-20中都包含T,请问T是输入什么呢
您好,我也在做这个随机前沿超越对数生产函数模型,不知道加入时间趋势t之后的stata操作代码是啥,方便赐教下吗?谢谢
二维码

扫码加我 拉你入群

请注明:姓名-公司-职位

以便审核进群资格,未注明则拒绝

栏目导航
热门文章
推荐文章

说点什么

分享

扫码加好友,拉您进群
各岗位、行业、专业交流群