经管之家App
让优质教育人人可得
立即打开
全部版块
我的主页
›
论坛
›
提问 悬赏 求职 新闻 读书 功能一区
›
经管百科
›
爱问频道
一道基础的统计学计算题
楼主
bfp8083
831
0
收藏
2018-02-05
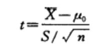
请问这道题的答案是不是错误的?关于计算t值,应该是用公式
,原答案中的7应该开根号吗?
可能犯的是第II类的错误?因为原假设没被拒绝,可能混入错误的样本进来。
烦请看一下!谢谢!
扫码加我 拉你入群
请注明:姓名-公司-职位
以便审核进群资格,未注明则拒绝
栏目导航
爱问频道
基金与课题申请
能源经济学
MATLAB等数学软件专版
经管文库(原现金交易版)
金融工程(数量金融)与金融衍生品
热门文章
CDA 数据分析师:主成分分析(PCA)实战指南 ...
Business Research Methods 14th Edition b ...
Probabilistic Data-Driven Modeling by To ...
2025设计行业AI应用趋势报告
共同基金常识
中国城市建设统计年鉴2002-2024 中国城乡建 ...
【华泰证券】游戏出海坚韧,融合中谋发展
Introduction to Analysis-William R·Wade
旅游行业:中国赴日游趋势洞察报告2025
Real Algebraic Geometry- Jacek Bochnak
推荐文章
AI狂潮席卷学术圈,不会编程也能打造专属智 ...
最快1年拿证,学费不足5W!热门美国人工智能 ...
关于如何利用文献的若干建议
关于学术研究和论文发表的一些建议
关于科研中如何学习基础知识的一些建议 (一 ...
一个自编的经济学建模小案例 --写给授课本科 ...
AI智能体赋能教学改革: 全国AI教育教学应用 ...
2025中国AIoT产业全景图谱报告-406页
关于文献求助的一些建议
几种免费下载文献的方法----我的文献应助经
说点什么
分享
微信
QQ空间
QQ
微博
扫码加好友,拉您进群
各岗位、行业、专业交流群