全部版块 我的主页
论坛 经济学论坛 三区 微观经济学 经济金融数学专区
2073 4
2018-02-27
sky-net tree exotics.png

右边两个是银行理财产品常用的“单边不碰”期权的数值解对比
传统的树式解得出的是阶梯状的结论,误差度超过10%,则几乎无法对冲
而我修正了二叉树和三叉树,仅仅用10毫秒级就得到了连续的结果(红线)

"单边不碰"是最简单的障碍期权,图中计算的是20个交易日内任意一日收盘高过104则期权失效,撑过20天可以获得1元
就因为二叉树和三叉树如此糟糕的表现,过去一直认为树式算法是无能的,改进也比较困难,基本靠巧解
所以这个期权基本用解析解来模拟
而我的天网算法可以把精确度提高一阶,轻松把误差控制到原来的1/100, 遗留的误差主要是二阶以上的曲度误差
这个误差可以通过曲线插值法来弥补
那么就可以实现更复杂的结构,满足客户的实际需求

左侧就实现了美式价差
投资者如果用Collar策略,平仓时无法获得内涵价值,这个是老毛病了—— 美式价差图.png
买了100-105的看涨价差,中途涨到105,平仓获益不足5,且平仓越早获益越低,因为空头平仓要倒贴权利金。
投资者真正需求的是美式价差,即平仓获得内在价值,涨到105就可得5,涨到103可得3
“厂”形的结构可以实现投资者的需求
还是老算法没办法定价和对冲
第一图的左侧的高级天网算法可以定价和对冲,即可以提供这种产品
这个还可以变形,搞成预备美式价差,只在到期前一个时间段美式,降低成本

可以说天网算法极大的丰富了奇异期权的可能性,像中国菜一样丰富了投资者的选择
我相信它在中国大有用武之地
毕竟中国人喜欢花样,菜品多得数不过来,扑克麻将各式各样,香港的奇异期权层出不穷
就连国内的老农民被期货交易所养刁了,居然都要“亚美式期权”
二维码

扫码加我 拉你入群

请注明:姓名-公司-职位

以便审核进群资格,未注明则拒绝

全部回复
2018-2-28 09:32:01
zxun 发表于 2018-2-27 11:22
右边两个是银行理财产品常用的“单边不碰”期权的数值解对比
传统的树式解得出的是阶梯状的结论,误差 ...
最近看了款笔记本是苹果pro 里面搭载了 i7-3700HR处理器, 苹果主板针对这款处理器做了优化设计,,比pc主板运算效率高20%, 并有效解决了散热问题, ,,,
二维码

扫码加我 拉你入群

请注明:姓名-公司-职位

以便审核进群资格,未注明则拒绝

2018-2-28 11:00:17
vsksing 发表于 2018-2-28 09:32
最近看了款笔记本是苹果pro 里面搭载了 i7-3700HR处理器, 苹果主板针对这款处理器做了优化设计,,比pc主 ...
现在算力已经到瓶颈了,纳米级的芯片每做小一点挑战的不仅是加工工艺,还有散热效率. 散热解决不了, 理论速度再快也得降下来.
二维码

扫码加我 拉你入群

请注明:姓名-公司-职位

以便审核进群资格,未注明则拒绝

2018-4-22 20:34:31
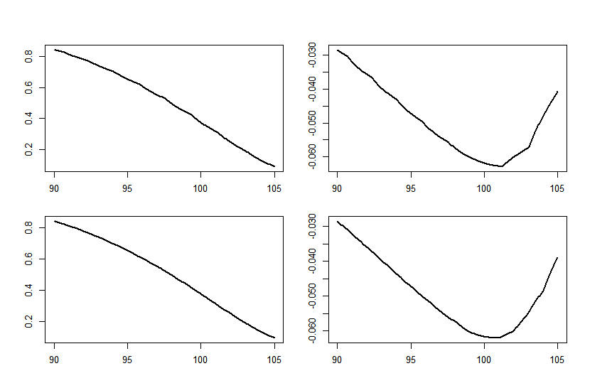
又改进了
数值解的曲线已经非常像解析解了 (daily close no-touch)
上面是原来的天网算法,下面是又改进的天网算法
左为期权价值,右为Delta仓位
附件列表
skynet2.png

原图尺寸 7.68 KB

skynet2.png

二维码

扫码加我 拉你入群

请注明:姓名-公司-职位

以便审核进群资格,未注明则拒绝

2018-4-22 20:35:46
虽然我的算法很快,达到了厘秒级,可是还是不知道传统的算法最快的有多快。
二维码

扫码加我 拉你入群

请注明:姓名-公司-职位

以便审核进群资格,未注明则拒绝

栏目导航
热门文章
推荐文章

说点什么

分享

扫码加好友,拉您进群
各岗位、行业、专业交流群