经管之家App
让优质教育人人可得
立即打开
全部版块
我的主页
›
论坛
›
计量经济学与统计论坛 五区
›
计量经济学与统计软件
›
Stata专版
请教做系统GMM模型的数据输入形式(差分or原序列)
楼主
gerongwo
1161
0
收藏
2018-03-04
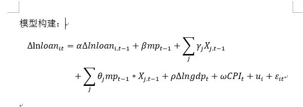
求助各位前辈,我参照文献构建了如下的动态面板回归模型,打算用stata进行系统GMM。
其中loan是银行贷款,mp是货币政策代理变量(模型里用的是贷款基准利率lr),X是银行微观特征(总资产规模、资本充足率等)。
文献中说贷款基准利率取差分值,
那在准备面板数据的时候,是lr的原序列还是算好差分值放进去呢?
我是直接把差分值放在面板数据里的,但是GMM的报告里看到又对lr进行了一次差分。所以有点搞不明白了。
扫码加我 拉你入群
请注明:姓名-公司-职位
以便审核进群资格,未注明则拒绝
栏目导航
Stata专版
真实世界经济学(含财经时事)
经管文库(原现金交易版)
休闲灌水
文献求助专区
新手入门区
热门文章
展望2026:学术智能体即将崛起?
CDA数据分析脱产就业班于2025年12月08日开班 ...
AI4S回归白盒符号主义,清华等联合发布SR-L ...
CDA Level III 认证考试大纲重磅更新并启用 ...
初等数学论丛+第8辑
如盈财女:12.30黄金大跌后看反弹修复,原油 ...
项目介绍 MATLAB实现基于遗传算法(GA)进行 ...
项目介绍 MATLAB实现基于DTW-GPR 动态时间规 ...
新鲜出炉的行业会计核算手册
数字消费蓝皮书(2025年) 20251229
推荐文章
12月武汉站|Deepseek辅助论文写作与数据分 ...
2026JG学术冬训营:从Stata初高到Python机器 ...
关于如何利用文献的若干建议
关于学术研究和论文发表的一些建议
关于科研中如何学习基础知识的一些建议 (一 ...
一个自编的经济学建模小案例 --写给授课本科 ...
AI智能体赋能教学改革: 全国AI教育教学应用 ...
2025中国AIoT产业全景图谱报告-406页
关于文献求助的一些建议
几种免费下载文献的方法----我的文献应助经
说点什么
分享
微信
QQ空间
QQ
微博
扫码加好友,拉您进群
各岗位、行业、专业交流群