经管之家App
让优质教育人人可得
立即打开
全部版块
我的主页
›
论坛
›
提问 悬赏 求职 新闻 读书 功能一区
›
经管百科
›
爱问频道
R、Matlab、SPSS的主成份分析结果不同
楼主
纵横八方
1636
0
收藏
2018-04-12
最近遇到了一件怪事:
数据全是正数,并且由上到下依次递减。我先用R studio 的prcomp做主成分分析之后,结果显示我应该只取第一主成分。但是第一主成分全是负的,觉得不对劲,求了这组数据的相关系数矩阵的特征向量,输出结果的第一列全是负负数。
R的结果
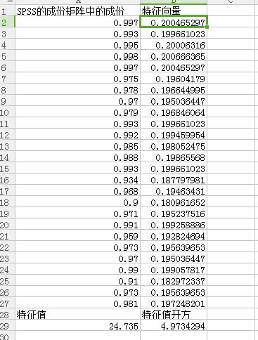
后来我用SPSS和Matlab分别求了这组数据的相关系数矩阵的特征向量,结果显示第一列全是正数。
不知道为什么会这样,按照直觉来判断特征向量应该是正数,但为什么R 会变成负数?
SPSS的结果
Matlab的结果
求各位大神解答!
附件列表
data.xlsx
大小:12.27 KB
只需: 1 个论坛币
马上下载
原始数据
扫码加我 拉你入群
请注明:姓名-公司-职位
以便审核进群资格,未注明则拒绝
栏目导航
爱问频道
房地产专版
行业应用案例
金融学(理论版)
经管文库(原现金交易版)
市场行情分析
热门文章
CDA数据分析师实战核心:假设检验的逻辑、方 ...
Deep Learning for Finance by Sofien Kaab ...
免费交流----整数分拆书籍
2026年全球投资展望
奇瑞集团2025年新能源销量突破90万辆
计算机:英伟达Vera Rubin重构AI存储层级, ...
【24热点,自用整理!】2007-2024上市公司长期 ...
【24更新,热点指标!】2007-2024上市公司数字 ...
AI泡沫系列研究之电子行业篇:AI硬件的理性 ...
2026年Stata初高级寒假班—AI赋能+原理+操作 ...
推荐文章
26年寒假天津站|Gemini论文写作&数据分析 ...
2026JG学术冬训营:从Stata初高到Python机器 ...
关于如何利用文献的若干建议
关于学术研究和论文发表的一些建议
关于科研中如何学习基础知识的一些建议 (一 ...
一个自编的经济学建模小案例 --写给授课本科 ...
AI智能体赋能教学改革: 全国AI教育教学应用 ...
2025中国AIoT产业全景图谱报告-406页
关于文献求助的一些建议
几种免费下载文献的方法----我的文献应助经
说点什么
分享
微信
QQ空间
QQ
微博
扫码加好友,拉您进群
各岗位、行业、专业交流群