全部版块 我的主页
论坛 计量经济学与统计论坛 五区 计量经济学与统计软件
1762 2
2018-04-20
悬赏 100 个论坛币 已解决
数据如下
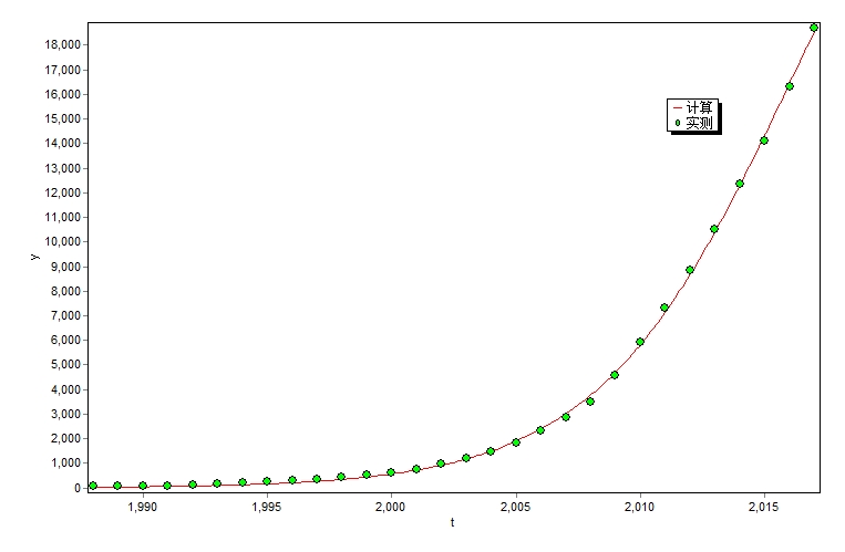
t=[1988 1989 1990 1991 1992 1993 1994 1995 1996 1997 1998 1999 2000 2001 2002 2003 2004 2005 2006 2007 2008 2009 2010 2011 2012 2013 2014 2015 2016 2017]
y=[60.42 73.12 81.62 96.04 118.2 155.77 205.42 249.96 289.67 358.36 423.65 533.88 625.33 770.78 968.98 1219.23 1481.66 1848.07 2333.32 2876.22 3501.39 4574.91 5938.71 7326.79 8838.60 10501.68 12339.36 14099.10 16330.22 18695.00];
求以下方程式拟合
y= K1*( 1 + β1*exp( d - r1*t) ) ^-1/β1
之前matlab也没有接触过,并不是很懂,希望大神能够给出拟合的步骤,谢谢

最佳答案

shamohu123 查看完整内容

这道拟合问题能得出正解应该是很困难,不论是Matlab还是其它如Origin,Stata等,1stOpt可以很容易得出如下最优结果: 均方差(RMSE): 108.582638594185 残差平方和(SSR): 353705.682122261 相关系数(R): 0.999802656296112 相关系数之平方(R^2): 0.999605351536761 修正R平方(Adj. R^2): 0.999576118317262 确定系数(DC): 0.999581765514693 卡方系数(Chi-Square): 164.480713720997 F统计(F-Statistic): 20832.7921525898 ...
二维码

扫码加我 拉你入群

请注明:姓名-公司-职位

以便审核进群资格,未注明则拒绝

全部回复
2018-4-20 21:02:49
这道拟合问题能得出正解应该是很困难,不论是Matlab还是其它如Origin,Stata等,1stOpt可以很容易得出如下最优结果:
均方差(RMSE): 108.582638594185
残差平方和(SSR): 353705.682122261
相关系数(R): 0.999802656296112
相关系数之平方(R^2): 0.999605351536761
修正R平方(Adj. R^2): 0.999576118317262
确定系数(DC): 0.999581765514693
卡方系数(Chi-Square): 164.480713720997
F统计(F-Statistic): 20832.7921525898

参数        最佳估算
----------        -------------
k1        32496.6620284768
b1        1.07678513719114
d        537.874206745223
r1        0.266800281734065
附件列表
t1.jpg

原图尺寸 65.16 KB

t1.jpg

二维码

扫码加我 拉你入群

请注明:姓名-公司-职位

以便审核进群资格,未注明则拒绝

2018-5-2 12:53:55
楼主如果要用MATALB,需要编2个M文件,一个用来定义函数,另一个用来估计参数。可用fminsearch命令或非线性最小二乘命令lsqnonlin()函数。
不过楼主的问题可以直接在EVIEWS中用非线性最小二乘估计,我算了一下,效果并不好。楼主的方程有点象Logistic回归,但也不是,我在EVIEWS中估计的结果如下:(只算出K1=0.032275,其他算不出来)

Dependent Variable: Y                               
Method: Least Squares (Gauss-Newton / Marquardt steps)                               
Date: 05/02/18   Time: 12:49                               
Sample: 1988 2017                               
Included observations: 30                               
Failure to improve ssr (non-zero gradients) after 0 iterations                               
Coefficient covariance computed using outer product of gradients                               
WARNING: Singular covariance - coefficients are not unique                               
Y=C(1)*(1+C(2)*EXP(C(3)-C(4)*T))^(-1/C(2))                               
                               
        Coefficient        Std. Error        t-Statistic        Prob.  
                               
C(1)        0.032275        NA        NA        NA
C(2)        0.000000        NA        NA        NA
C(3)        0.000000        NA        NA        NA
C(4)        0.000000        NA        NA        NA
                               
R-squared        -0.538757            Mean dependent var                3897.182
Adjusted R-squared        -0.716306            S.D. dependent var                5400.228
S.E. of regression        7074.724            Akaike info criterion                20.69001
Sum squared resid        1.30E+09            Schwarz criterion                20.87684
Log likelihood        -306.3502            Hannan-Quinn criter.                20.74978
Durbin-Watson stat        0.021762                       
                               
二维码

扫码加我 拉你入群

请注明:姓名-公司-职位

以便审核进群资格,未注明则拒绝

栏目导航
热门文章
推荐文章

说点什么

分享

扫码加好友,拉您进群
各岗位、行业、专业交流群