全部版块 我的主页
论坛 计量经济学与统计论坛 五区 计量经济学与统计软件 经管代码库
916 0
2018-05-31

交叉熵

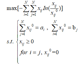
已知xij, ai, bi, 求xij0, 程序附下,运行结果总显示error code 11,请大家批评指正哪里有错误

model:
sets:
A/1..21/:ai;
B/1..21/:bj;
link(A,B):X,X0;
endsets
data:
ai=0.229022594,0.088475213,0.146822321,0.132408038,0.097698587,0.060443999,0.025203645,0.043831314,0.023868273,0.033871144,0.035586339,0.014020352,0.013121135,0.028862154,0.004619814,0.000596292,0.005457921,0.001959106,0.009103850,0.004082114,0.000945796;
bj=0.140667730,0.091716927,0.080458295,0.098382235,0.094525492,0.042793360,0.095236013,0.051614453,0.083676668,0.072739137,0.037292837,0.018722555,0.032956169,0.023775355,0.002849814,0.000234541,0.006816902,0.009558848,0.005228368,0.008578750,0.002175550;enddata
enddata
!目标函数;
min=@sum(links(i,j)|i#ne#j:X(i,j)*(@log(X(i,j))-@log(X0(i,j))));
!约束条件;
@for(links(i,j):X(i,j)=ai(i)*bj(j));
@for(links(i,j):X0(i,j)=@if(i#EQ#j,0,ai(i)*bj(j)));
end

二维码

扫码加我 拉你入群

请注明:姓名-公司-职位

以便审核进群资格,未注明则拒绝

栏目导航
热门文章
推荐文章

说点什么

分享

扫码加好友,拉您进群
各岗位、行业、专业交流群