全部版块 我的主页
论坛 数据科学与人工智能 数据分析与数据科学 MATLAB等数学软件专版
1764 0
2018-07-03
悬赏 50 个论坛币 未解决
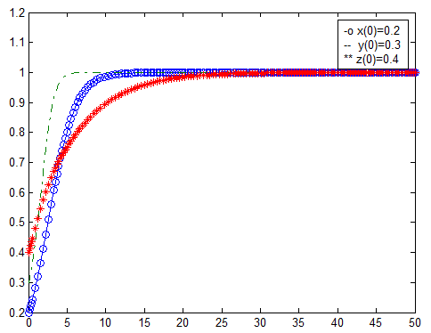
微分方程组如下:
dx(1)=x(1)*(1-x(1))*(r1-c1+m1*x(3));
dx(2)=x(2)*(1-x(2))*(r2-r3+m2*x(3)+f1*x(3));
dx(3)=x(3)*(1-x(3))*(-x(2)*m2-x(1).*m1-c4+f1-x(2)*f1+x(2)*r4);
设置参数值(参数值已知),画图
举个例子 111.png
这是一个二维图像。
现在我将要其中某一个参数变成一个范围,例如c1从1.5变化到2,那么图像就变成一个三维图像了。
用matlab怎么实现这个三维图,求大神告知。(论坛币好说,方便的话加我微信:18742056642)
二维码

扫码加我 拉你入群

请注明:姓名-公司-职位

以便审核进群资格,未注明则拒绝

栏目导航
热门文章
推荐文章

说点什么

分享

扫码加好友,拉您进群
各岗位、行业、专业交流群