全部版块 我的主页
论坛 数据科学与人工智能 数据分析与数据科学 R语言论坛
2204 1
2018-08-16
我用R语言的ggolpt2和plotROC画ROC曲线,发现我的两组数据如果对调顺序画出来的结果完全相反
数据如下:> plot1
             Group     Factor
NI.A.cheni.1     0  5.4911470
NI.A.cheni.2     0  5.0022268
NI.A.cheni.3     0  0.7694105
NI.A.cheni.4     0 -3.8929303
NI.A.cheni.5     0  4.7077734
NI.A.cheni.6     0  6.2827926
NI.A.cheni.7     0  4.2840538
NI.A.cheni.8     0  3.2507570
NI.A.cheni.9     0  2.0983300
I.A.cheni.1      1  5.5056647
I.A.cheni.2      1 -1.4006601
I.A.cheni.3      1  1.7354293
I.A.cheni.4      1  4.3787589
I.A.cheni.6      1  5.1592610
I.A.cheni.7      1  5.4623794

结果是这样的:
plot1数据结果
plot:
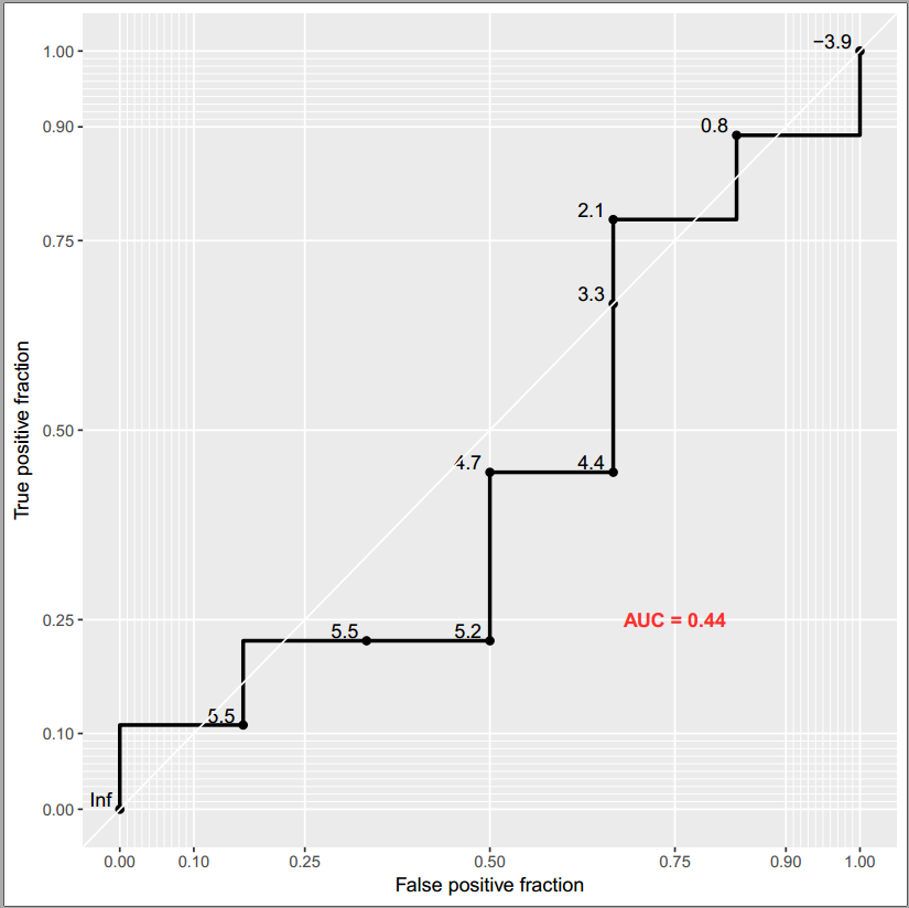
> plot
             Group     Factor
I.A.cheni.1      0  5.5056647
I.A.cheni.2      0 -1.4006601
I.A.cheni.3      0  1.7354293
I.A.cheni.4      0  4.3787589
I.A.cheni.6      0  5.1592610
I.A.cheni.7      0  5.4623794
NI.A.cheni.1     1  5.4911470
NI.A.cheni.2     1  5.0022268
NI.A.cheni.3     1  0.7694105
NI.A.cheni.4     1 -3.8929303
NI.A.cheni.5     1  4.7077734
NI.A.cheni.6     1  6.2827926
NI.A.cheni.7     1  4.2840538
NI.A.cheni.8     1  3.2507570
NI.A.cheni.9     1  2.0983300

结果是这样的:
plot数据结果

下面是我的绘图代码:
basicplot <- ggplot(plot, aes(d = Group, m = Factor)) + geom_roc()
basicplot+annotate("text", x = .75, y = .25, label = paste("AUC =", round(calc_auc(basicplot)$AUC, 2)),colour="red",alpha=0.8,fontface = "bold")+style_roc(theme = theme_grey)


ROC的结果应该不会受到数据顺序的影响吧?
不知道哪里出的问题,希望各位大神帮忙解答,谢谢!
二维码

扫码加我 拉你入群

请注明:姓名-公司-职位

以便审核进群资格,未注明则拒绝

全部回复
2018-8-16 16:48:32
R 中有很多,绘制ROC的package
如:pROC   是很优秀的学习ROC的
二维码

扫码加我 拉你入群

请注明:姓名-公司-职位

以便审核进群资格,未注明则拒绝

相关推荐
栏目导航
热门文章
推荐文章

说点什么

分享

扫码加好友,拉您进群
各岗位、行业、专业交流群