经管之家App
让优质教育人人可得
立即打开
全部版块
我的主页
›
论坛
›
经济学人 二区
›
学术道德监督
mathmatic求解不等式
楼主
要塞哥
1239
1
收藏
2018-09-29
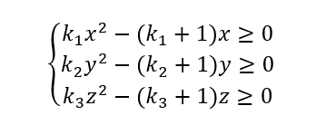
求解不等式,用mathmatic怎么没反应,求大神帮助一下
扫码加我 拉你入群
请注明:姓名-公司-职位
以便审核进群资格,未注明则拒绝
全部回复
沙发
要塞哥
2018-9-29 13:56:03
除了x,y,z,其他可当成常数项
扫码加我 拉你入群
请注明:姓名-公司-职位
以便审核进群资格,未注明则拒绝
栏目导航
学术道德监督
经管高考
休闲灌水
SPSS论坛
悬赏大厅
SAS专版
热门文章
CDA数据分析脱产就业班于2026年3月7日开班! ...
艾瑞咨询 - 2025年中国早教行业白皮书
毕马威 - 2025年香港私人财富报告 202601
Measure Theory for Analysis and Probabil ...
2025中国可持续消费报告
现代数学基础19 偏微分方程 孔德兴
科研时间70%耗在“下载-复制-粘贴”?零代码 ...
精准匹配,菁英相伴--经管之家单身俱乐部, ...
CDA数据分析师:商业数据分析实践的核心执行 ...
我该如何记住你?智能体记忆系统的演化之路
推荐文章
2026JG学术冬训营:从Stata初高到Python机器 ...
【必看】【本版版规,欢迎发悬赏贴求助】
26年寒假天津站|Gemini论文写作&数据分析 ...
关于如何利用文献的若干建议
关于学术研究和论文发表的一些建议
关于科研中如何学习基础知识的一些建议 (一 ...
一个自编的经济学建模小案例 --写给授课本科 ...
AI智能体赋能教学改革: 全国AI教育教学应用 ...
2025中国AIoT产业全景图谱报告-406页
关于文献求助的一些建议
说点什么
分享
微信
QQ空间
QQ
微博
加微信,拉你入群
微信外可尝试点击本链接进入