全部版块 我的主页
论坛 休闲区 十二区 休闲灌水
510 0
2018-10-03

英国科学期刊《物理世界》曾让读者投票评选了“最伟大的公式”,最终榜上有名了十个公式。

No.10 圆的周长公式创立者:古人

意义:自然界之美的数学表达。

这公式贼牛逼了,初中学到现在。目前,人类已经能得到圆周率的2061亿位精度。还是挺无聊的。现代科技领域使用的-圆周率值,有十几位已经足够了。

如果用 35位精度的-圆周率值,来计算一个能把太阳系包起来的一个圆的周长,误差还不到质子直径的百万分之一。现在的人计算圆周率,多数是为了验证计算机的计算能力,还有就是为了兴趣。

No.9 傅立叶变换创立者:让·巴普蒂斯·约瑟夫·傅立叶


意义:任何不规则的信号都可以表示为规则的正弦波无限叠加。它是数字信号处理领域的很重要的方法。

640.webp (24).jpg

这个挺专业的,一般人完全不明白。不多作解释。简要地说没有这个式子没有今天的电子计算机,所以你能在这里上网除了感谢党感谢政府还要感谢这个完全看不懂的式子。另外傅立叶虽然姓傅,但是法国人。

640.webp (23).jpg

让·巴普蒂斯·约瑟夫·傅立叶

No.8 德布罗意方程组创立者:路易·维克多·德布罗意

意义:德布罗意认为,任何物质既有粒子性,又有波动性,或者说,任何物质也可以看成是一种波,包括人本身。人不但是作为一种物质存在,某种意义上也是一种波。

640.webp (22).jpg


640.webp (21).jpg

这个东西也挺牛逼的,高中物理学到光学的话很多概念跟它是远亲。简要地说德布罗意这人觉得电子不仅是一个粒子,也是一种波,它还有 “波长”。于是搞啊搞就有了这个物质波方程,表达了波长、能量等等之间的关系。同时他获得了1929年诺贝尔物理学奖。

640.webp (20).jpg

路易·维克多·德布罗意

No.7 1+1=2这个公式不需要名称,不需要翻译,不需要解释。

No.6 薛定谔方程创立者:埃尔温·薛定谔

意义:在量子力学中描述物体的状态不能像经典力学中一样用位移、速度等,而只能用一个物理量的函数来描述,这个物理量也不再是某个确定的值,而是一个随时间分布的概率,每一个微观系统都有相应的薛定谔方程。薛定谔方程在量子力学中的意义与牛顿第二定律在经典力学中的意义一样。 640.webp (19).jpg

也是一般人完全不明白的。因此我摘录官方评价:“薛定谔方程是世界原子物理学文献中应用最广泛、影响最大的公式。”由于对量子力学的杰出贡献,薛定谔获得1933年诺贝尔物理奖。

另外薛定谔虽然姓薛,但是奥地利人。

640.webp (18).jpg

埃尔温·薛定谔

No.5 质能方程创立者:阿尔伯特·爱因斯坦

意义:质能方程深刻地揭示了质量与能量之间的关系,在此之前,人们毫无疑问的认为:质量是质量,能量是能量,两者间没有联系。正是质能方程的发现才有原子弹、氢弹的爆炸。这个方程更重要的是彻底地颠覆了人类固有思想,促进人类文明的进步。 640.webp (17).jpg

好像从来没有一个科学界的公式有如此广泛的意义。在物理学“奇迹年”1905年,由一个叫做爱因斯坦的年轻人提出。同年他还发表了《论动体的电动力学》——俗称狭义相对论。

这个公式告诉我们,爱因斯坦是牛逼的,能量和质量是可以互换的。

640.webp (16).jpg

阿尔伯特·爱因斯坦

No.4 勾股定理/毕达哥拉斯定理创立者:毕达哥拉斯

(也有认为我国商代就已经出现勾股定理并加以证明)

意义:勾股定理是用数学方法解决图形问题的典型方法,目前有400多种的证明形式。勾三股四弦五是如此深入每一个地球人的心灵。 640.webp (15).jpg

做数学不可能没用到过吧,不多讲了。

640.webp (14).jpg

毕达哥拉斯

No.3 牛顿第二定律创立者:艾萨克·牛顿

意义:牛顿第二定律是经典物理学的核心,它适用于我们日常生活的方方面面,它标志着真正物理学研究的开始。没有牛顿,人类文明会在黑暗的世界中度过更长的时间。 640.webp (25).jpg

有史以来最伟大的没有之一的科学家在有史以来最伟大没有之一的科学巨作《自然哲学的数学原理》当中的被认为是经典物理学中最伟大的没有之一的核心定律。动力的所有基本方程都可由它通过微积分推导出来。对于学过高中物理的人,没什么好多讲了。

640.webp (13).jpg

创立者:艾萨克·牛顿

No.2 欧拉公式创立者:莱昂哈德·欧拉

意义:数学上有许多公式都是欧拉发现的,因此欧拉公式并不是某单一的公式,欧拉公式广泛分布于数学的各个分支中。瑞士教育与研究国务秘书Charles Kleiber曾表示:“没有欧拉的众多科学发现,今天的我们将过着完全不一样的生活。”法国数学家拉普拉斯则认为:读读欧拉,他是所有人的老师。 640.webp (12).jpg

这个公式是上帝写的么?到了最后几名,创造者个个神人。欧拉是历史上最多产的数学家,也是各领域(包含数学的所有分支及力学、光学、音响学、水利、天文、化学、医药等)最多著作的学者。数学史上称十八世纪为“欧拉时代”。

欧拉出生于瑞士,31岁丧失了右眼的视力,59岁双眼失明,但他性格乐观,有惊人的记忆力及集中力。他一生谦逊,很少用自己的名字给他发现的东西命名。不过还是命名了一个最重要的一个常数——e。

关于e,以前有一个笑话说:在一家精神病院里,有个病患整天对着别人说,“我微分你、我微分你。”也不知为什么,这些病患都有一点简单的微积分概念,总以为有一天自己会像一般多项式函数般,被微分到变成零而消失,因此对他避之不及,然而某天他却遇上了一个不为所动的人,他很意外,而这个人淡淡地对他说,“我是e的x次方。”

这个公式的巧妙之处在于,它没有任何多余的内容,将数学中最基本的e、i、pie放在了同一个式子中,同时加入了数学也是哲学中最重要的0和1,再以简单的加号相连。

高斯曾经说:“一个人第一次看到这个公式而不感到它的魅力,他不可能成为数学家。”

640.webp (11).jpg

莱昂哈德·欧拉

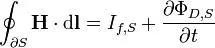
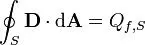
No.1 麦克斯韦方程组创立者:詹姆斯·克拉克·麦克斯韦

意义:将电场和磁场有机地统一成完整的电磁场。并创立了电磁场理论,而没有电磁学理论,就不会有现在的社会文明。

积分形式:

640.webp (10).jpg

640.webp (9).jpg

640.webp (8).jpg

640.webp (7).jpg

微分形式:

640.webp (6).jpg

640.webp (5).jpg

640.webp (4).jpg

640.webp (3).jpg

任何一个能把这几个公式看懂的人,一定会感到背后有凉风——如果没有上帝,怎么解释如此完美的方程?这组公式融合了电的高斯定律、磁的高斯定律、法拉第定律以及安培定律。

比较谦虚的评价是:“一般地,宇宙间任何的电磁现象,皆可由此方程组解释。”到后来麦克斯韦仅靠纸笔演算,就从这组公式预言了电磁波的存在。

640.webp (2).jpg

詹姆斯·克拉克·麦克斯韦

我们不是总喜欢编一些故事,比如爱因斯坦小时候因为某一刺激从而走上了发奋学习、报效祖国的道路么?事实上,这个刺激就是你看到的这个方程组。

也正是因为这个方程组完美统一了整个电磁场,让爱因斯坦始终想要以同样的方式统一引力场,并将宏观与微观的两种力放在同一组式子中:即著名的“大一统理论”。爱因斯坦直到去世都没有走出这个隧道,而如果一旦走出去,我们将会在隧道另一头看到上帝本人。

以上十大公式,是不是你曾经也信手拈来呢?如果觉得很陌生,就赶紧翻高中课本去吧,不是影响工作,而是很快就没办法给孩子辅导功课啦。

如果说,大道至简,重新理解十大公式倒也难不倒我,那么下面这一个公式就有那么一丢丢难度了,它就是标准模型的拉格朗日量:

640.webp (1).jpg

(别问我,我也看不懂)

640.webp.jpg


二维码

扫码加我 拉你入群

请注明:姓名-公司-职位

以便审核进群资格,未注明则拒绝

栏目导航
热门文章
推荐文章

说点什么

分享

扫码加好友,拉您进群
各岗位、行业、专业交流群