全部版块 我的主页
论坛 休闲区 十二区 休闲灌水
568 1
2018-10-08

虚数总是让我困扰,就像在指数 e 的理解上,大多数解释都可以划分为这两类之中的一种:

  • 它是一个数学的抽象,解决了一些等式。去好好地处理好它吧~

  • 相信我们,它用于高级物理。等到大学你就可以学到了


哈,这真是一个鼓励孩子去学习数学的一个“极佳”方式!今天,我们用一些我们最爱的工具来解决这个问题:

  • 把焦点放在「关系」上,而不是数学公式;

  • 将复数视为对现有数字系统的一次升级,就像曾经的 0,小数以及负数升级了当时的数字系统那样;

  • 通过视觉图表而不是文本来理解概念。


以及我们的秘密武器:通过类比。我们将会通过观察它的来源、负数来了解虚数。下面便是你的指南:

640.webp.jpg

*sqrt(n) 指求 n 的平方根

现在你可能还看不懂上面的指南,但是先放在这儿。最终我们会搞定虚数 i,然后将它存放在你深深的脑海里~

真正地了解负数

负数并不简单。想像你是一位 18 世纪的欧洲数学家,你能写出 4-3=1,这很简单。

但是,如果是3-4呢?什么?这到底意味着什么呢?怎么能从 3 头奶牛中牵走 4 头呢?怎么可能比什么都没有还少呢?

负数曾被看作是荒谬的东西,是一种“使得等式的整个学说都变得灰暗”的东西(Francis Maseres, 1759)。然而在今天,把负数看成是没有逻辑或者没有用才是荒谬的。去问问你的老师,问他们负数是否改变了数学的整个根基。

这是发生了什么呢?是我们发明了一种非常有用的理论数字。我们不能触摸或者拿到负数,但是在描述某些关系时用负数非常方便(比如债务)。它是一个非常有用的设想

相比于“我欠你 30”这种需要通过阅读词语来判断是负债与否,我可以写“-30”,这意味着我在负债。如果我挣到钱了,还清了债务(-30+1000=70),我可以轻易地就记录下这笔交易。我有 +70 的富余,这意味着我的债务还清了。

正数和负数的符号自动地追随了交易的流动方向——你不再需要一个句子去描述每一笔交易对债务带来的变化。数学变得更加简单、更加优雅。负数可不可感知、是不是真实存在不再重要——因为它们拥有有用的属性,我们使用了它直到它成为了日常生活的每一个部分。在今天,如果有人“无法接受”负数,你可以说他们真的是骇人听闻。

但是还是不要对这种艰难的转变沾沾自喜:负数曾经是一个非常巨大的思想转变。即使如欧拉,这位发现了指数 e 等更多发现的天才,也无法像我们今天这样去理解负数。当时负数被当作是“无意义的”结果(后来他弥补了这一点,令人敬佩)。

这也证明了我们的思想潜能,即今天的孩子们期望去理解那些曾经困惑了古代数学家的问题。


进入虚数

虚数有一个简单的故事。我们可以整天去解决这样的等式:

640.webp (1).jpg

它的答案是 3 和 -3。但是如果有一个聪明的人给它添加了一个小小的符号:

640.webp (2).jpg

阿欧~这个问题让大多数人在看到它第一眼的时候就感觉到了尴尬。你想要对一个小于 0 的数字求平方根?荒谬!(历史上这个确实是要解决的问题,但我喜欢把它设想成一个聪明的人提出来的)

这个问题看起来好像很愚蠢,就好像负数、0、无理数(不循环的数)刚开始被提出来时一定也会被认为如此愚蠢。这个问题没有“实际”的意义,对吗?

错!所谓的“虚构的数字”与其他数字一样正常:它们都是描述这个世界的工具。就像假设 -1, .3 及 0 “存在”一样,让我们假设有一个数字 i 存在:

640.webp (3).jpg

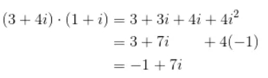
就像这样,你把 i 乘以 i 可以得到 -1。那现在发生了什么?

当然,首先我们会感到头痛...但是“假设 i 存在”的游戏事实上让数学变得更加简单和优雅。一种我们可以更加方便地描述的新的关系就此浮现。

你也许不相信 i,就像那些固执的老数学家们一样不相信 -1 的存在。新的、绕脑的概念都很,不能立刻理解,即使像欧拉这样的天才都不行。但是负数告诉我们,陌生的概念依然可以很有用。

我不喜欢“虚数”这个词语——它被看作是一种侮辱,伤害了 i 的感情。数字 i 就跟其他一样数字一样正常,但是“虚数”这个名字是摆脱不了了,我们还将会用它。


图解负数和复数

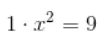
正如上次我们看到的那样,等式 x^2=9 意味着:

640.webp (4).jpg

或者:

640.webp (5).jpg

x 是什么转换数,累乘两次,就能把 1 变成 9?

答案有两个:“x = 3”和 “x = -3”:也就是说,通过将其扩大 3 倍后再扩大 3 倍来实现。

现在让我们考虑 x^2=-1,也就是

640.webp (6).jpg

x 是什么转换数,累乘两次,就能把 1 变成 -1?

  • 我们不能乘以一个正数乘两次,因为结果还是正数;

  • 我们不能乘以一个负数乘两次,因为结果在第二次乘之后会跳回至正数。


然而如果是...旋转呢!这听起来很疯狂,但是如果我们想像把 x “旋转 90 度”,乘以两次 x 的话,即为旋转 180 度,1 就会变成 -1。

640.webp (7).jpg

呀!如果我们在想想,会发现将其在其他方向(顺时针)旋转两次也能将 1 转换为 -1。这是一个“负”旋转或者说乘以 -i:

640.webp (8).jpg

如果我们乘以 -i 两次,第一次乘法会将 1 转换成 -i,第二次将 -i 转换成 -1。所以这里实际上有两个 -1 的平方根:i 和 -i。

这非常酷!我们有了某种形式的答案,但是它们意味着什么呢?

  • i 是一个“新设想出来的维度”用来衡量数字;

  • i (or -i) 是数字在旋转中“形成的”;

  • 乘以 i 就是逆时针旋转 90 度;

  • 乘以 -i 就是顺时针旋转 90 度;

  • 两种旋转在各自的方向上都是 -1:它把我们带回了正数与负数所在的“常规”维度。


数字成二维了这是思维的拓展,就像小数或者长除法对一个古罗马人是思维拓展一样。(你认为 1 和 2 之间的数字有什么意义?)。这是一个新奇的看待数学的方式。

我们问“我们如何用两步实现 1 转换成 -1?”然后发现了答案:将其旋转 90 度。这是一个新奇的看待数学的方式但非常有用。(顺带提一下,直到 i 被发现后的数十年才有了这个关于复数的几何解释)。

同时也要记住逆时针旋转变成正数是一个人类的发明——有可能还存在其它更为简单的方式。


找到模式



让我们深入到一点小细节中。当乘以一个负数时(就像 -1),你会得到一个模式:

  • 1, -1, 1, -1, 1, -1, 1, -1


-1 并没有改变数字的大小,只改变了符号,来来回回。而对于一些数字"x",你可以得到:

  • x, -x, x, -x, x, -x...


这个概念非常有用。数字"x"可以代表一个愉快或者糟糕的一周。假设每周被分为愉快的和糟糕的,现在是愉快的一周,那么在 47 周的时候是愉快的一周还是糟糕的一周呢?

640.webp (9).jpg

所以 -x 意味着是糟糕的一周。注意负数是如何“保持与符号的联系”的——我们可以把 (-1)^47 放到计算器里面而不用去算(“第一周愉快,第二周糟糕,第三周愉快...)。这种可以来来回回的东西可以很好地应用负数这个模型

那好,现在如果我们持续乘以 i 会怎么样?

640.webp (10).jpg

这非常有趣。让我们简化一点:

  • 1 = 1(这里无需简化)

  • i = i (这里无需简化)

  • i ^ 2 = -1 (这就是 i 的全部)

  • i ^ 3 = (i · i) · i = -1 · i = -i (3 次逆时针旋转等于 1 次顺时针旋转,非常好)

  • i ^ 4 = (i · ) · (i · i) = -1 · -1 = 1 (4 次旋转带来了一个“整圆”)

  • i ^ 5 = i ^ 4 · i = 1 · i = i (这里开始重复...)


从视觉上来看:

640.webp (11).jpg

每次循环,我们旋转 4 次。这就有意义了,对不对?任何一个小孩子都能告诉你旋转 4 次相当于没动。现在让我们将精力放在虚数(i, i^2)上,观察这个一般的模式:

  • X, Y, -X, -Y, X, Y, -X, -Y...


就像负数模型那样来回翻转,虚数可以作为 "X" 和 "Y" 这两个维度之间的任何东西的旋转模型,或者是,任何只要有循环环状关系的东西——有什么想法了吗?

Cos it’d be a sin if you didn’t. There’ll de Moivre be more in future articles.
[译者注:作者在这里使用了双关,翻译成中文就失去了意义,此句不包含关键信息]


附件列表
640.webp (18).jpg

原图尺寸 11.01 KB

640.webp (18).jpg

640.webp (17).jpg

原图尺寸 50.08 KB

640.webp (17).jpg

640.webp (16).jpg

原图尺寸 14.99 KB

640.webp (16).jpg

640.webp (15).jpg

原图尺寸 5.14 KB

640.webp (15).jpg

640.webp (14).jpg

原图尺寸 4.52 KB

640.webp (14).jpg

640.webp (13).jpg

原图尺寸 18.51 KB

640.webp (13).jpg

640.webp (12).jpg

原图尺寸 16.42 KB

640.webp (12).jpg

二维码

扫码加我 拉你入群

请注明:姓名-公司-职位

以便审核进群资格,未注明则拒绝

全部回复
2018-10-8 12:21:37
长知识了,谢谢提供分享!
二维码

扫码加我 拉你入群

请注明:姓名-公司-职位

以便审核进群资格,未注明则拒绝

栏目导航
热门文章
推荐文章

说点什么

分享

扫码加好友,拉您进群
各岗位、行业、专业交流群