经管之家App
让优质教育人人可得
立即打开
全部版块
我的主页
›
论坛
›
数据科学与人工智能
›
数据分析与数据科学
›
SPSS论坛
spass软件的GLM分析做曲线图
楼主
qianmohu
2813
1
收藏
2018-10-08
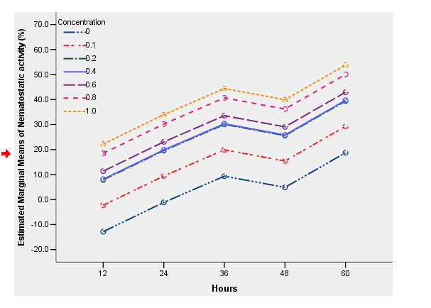
请教各位大佬怎样用SPASS的GLM分析做出来带误差棒的曲线图(必须要GLM分析作图),急用,谢谢!!!
我做出来的是前面的图,文献上是后面的图。原数据见附件
附件列表
新建 XLS 工作表 (2).xls
大小:23.5 KB
马上下载
扫码加我 拉你入群
请注明:姓名-公司-职位
以便审核进群资格,未注明则拒绝
全部回复
沙发
tmdxyz
2018-10-9 07:26:57
感觉楼主上面那个图属于repeated 方差分析之后做的轮廓图,下面这个图只是普通的误差棒图。
扫码加我 拉你入群
请注明:姓名-公司-职位
以便审核进群资格,未注明则拒绝
相关推荐
spass 独立样本t检验
请问武书连大侠,SPASS是什么东东?
很是无语,领导不懂SPASS,工作都白做
求最新版的spass和教程
spass做岭回归有宽度问题
牛人推荐本学习spass的书,谢谢了!
在哪可以下载SPASS软件,求指点。。
spass 软件 操作素材
求大神决解一下HLM6与数据spass19.0不兼容问题
我要用SPASS证明正相关,需要收集什么数据?
栏目导航
SPSS论坛
金融学(理论版)
经管文库(原现金交易版)
经管高考
计量经济学与统计软件
行业分析报告
热门文章
通用指标与场景指标:CDA数据分析师的核心分 ...
2024年合集 ESG评级数据大全(彭博 华证 Wi ...
中国企业高质量发展展望穿越周期与聚力创新
复变函数专题选讲
《那年2003:我双手插兜,搞钱不知什么叫对 ...
在概率与代码之间:Agent Skills 是 AI 的枷 ...
CDA数据分析脱产就业班于2026年3月7日开班! ...
参数估计:CDA数据分析师的核心推断工具,用 ...
GeoSaaS永久会员版
全国国土利用现状、耕地、园地、林地分布等 ...
推荐文章
2026JG学术冬训营:从Stata初高到Python机器 ...
【必看】【本版版规,欢迎发悬赏贴求助】
【新课】26年3月|Gemini辅助论文写作与数据 ...
关于如何利用文献的若干建议
关于学术研究和论文发表的一些建议
关于科研中如何学习基础知识的一些建议 (一 ...
一个自编的经济学建模小案例 --写给授课本科 ...
AI智能体赋能教学改革: 全国AI教育教学应用 ...
2025中国AIoT产业全景图谱报告-406页
关于文献求助的一些建议
说点什么
分享
微信
QQ空间
QQ
微博
扫码加好友,拉您进群
各岗位、行业、专业交流群