经管之家App
让优质教育人人可得
立即打开
全部版块
我的主页
›
论坛
›
数据科学与人工智能
›
数据分析与数据科学
›
R语言论坛
批量求多年的Theil泰勒指数,重金有偿!重金有偿!
楼主
醉乡葬地有高原8
1526
5
收藏
2018-10-14
悬赏
50
个论坛币
未解决
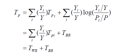
指数的公式是这样的
一个简单的例子:求1978的指数T,要求分别把分解项Twr和Tbr 求出来
用R我只会 一年一年的求,哪位大神能批量求多年的指数及其两个分界项的值
跪求大神帮忙
扫码加我 拉你入群
请注明:姓名-公司-职位
以便审核进群资格,未注明则拒绝
全部回复
沙发
凌风回颜
2018-10-14 21:44:35
此帖仅作者可见
扫码加我 拉你入群
请注明:姓名-公司-职位
以便审核进群资格,未注明则拒绝
藤椅
醉乡葬地有高原8
2018-10-14 23:44:02
此帖仅作者可见
扫码加我 拉你入群
请注明:姓名-公司-职位
以便审核进群资格,未注明则拒绝
板凳
凌风回颜
2018-10-15 08:52:32
此帖仅作者可见
扫码加我 拉你入群
请注明:姓名-公司-职位
以便审核进群资格,未注明则拒绝
报纸
醉乡葬地有高原8
2018-10-15 12:50:36
此帖仅作者可见
扫码加我 拉你入群
请注明:姓名-公司-职位
以便审核进群资格,未注明则拒绝
地板
Zyzjerryzhang
2019-2-9 21:10:56
此帖仅作者可见
扫码加我 拉你入群
请注明:姓名-公司-职位
以便审核进群资格,未注明则拒绝
栏目导航
R语言论坛
计量经济学与统计软件
数据分析与数据挖掘
灌水吧
经管文库(原现金交易版)
创业论坛
热门文章
当AI遇见ML:高校教师如何借助AI与机器学习 ...
CDA 认证考试大纲 2025 重磅更新:一二级考 ...
乡村振兴相关数据
城管进社区如何破解物业“有责无权”困局?
2026年宏观经济十大趋势展望
2026年宏观经济十大趋势展望
管理者微观经济学 Microeconomics for Mana ...
2025手持智能影像设备需求洞察
【24重磅,优化版本!】2003-2024上市公司股票 ...
【顶刊DID,24重磅!】2001-2024上市公司营改 ...
推荐文章
12月武汉站|Deepseek辅助论文写作与数据分 ...
2026JG学术冬训营:从Stata初高到Python机器 ...
关于如何利用文献的若干建议
关于学术研究和论文发表的一些建议
关于科研中如何学习基础知识的一些建议 (一 ...
一个自编的经济学建模小案例 --写给授课本科 ...
AI智能体赋能教学改革: 全国AI教育教学应用 ...
2025中国AIoT产业全景图谱报告-406页
关于文献求助的一些建议
几种免费下载文献的方法----我的文献应助经
说点什么
分享
微信
QQ空间
QQ
微博
扫码加好友,拉您进群
各岗位、行业、专业交流群