全部版块 我的主页
论坛 休闲区 十二区 休闲灌水
555 0
2018-10-19

贝尔不等式

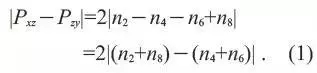
现在再回到简单的数学:我们在 Pxz,Pzy 和 Pxy 的表达式上做点小运算。首先,将 Pxz 和 Pzy 相减再取绝对值后,可以得到:

640.webp (12).jpg


然后,利用有关绝对值的不等式,我们有:

640.webp (11).jpg

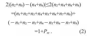
这样,从 (1) 式和 (2) 式,我们得到一个不等式:

640.webp (10).jpg

这就是著名的贝尔不等式。上述不等式是贝尔应用经典概率的思维方法得出的结论。因此,它可以说是在经典的框架下,这3个关联函数之间要满足的一种约束条件。也就是说,如果大粒子分裂成的两个小粒子A和B 是经典粒子的话,它们便必须遵循经典统计的规律,必须满足由经典概率方法得到的贝尔不等式!

但是,如果我们考虑量子力学,将两个小粒子A和B 当成是量子力学中的粒子,情况又将如何呢?它们的行为当然只有两种情形:遵循贝尔不等式,或者不遵循贝尔不等式。如果遵循贝尔不等式的话,那就好了,万事大吉!爱因斯坦的预言实现了。量子力学中的粒子也应该是满足“局域实在论”的,虽然在微观世界中的量子有时候表现得行为诡异,那只不过是因为有某些我们尚且不知道的隐变量而已,那不用着急,将来我们总能挖掘出这些隐变量来。

第二种情况,那就是量子现象不遵循贝尔不等式,也就是说,不能简单地用隐变量的理论来解释量子现象。贝尔用他的“贝尔定理”来表述这种情形:“任何局域隐变量理论都不可能重现量子力学的全部统计性预言”。如果是这样的话,世界好像有点乱套!不过没关系,贝尔说,重要的是,这几个关联函数都是在实验室中可以测量到的物理量。这样,我的不等式就为判定 EPR 和量子力学谁对谁错提供了一个实验验证的方法。那好,理论物理学家们说,我们就暂时停止毫无意义的、纯理论的辩论,让将来的实验结果来说话吧。

纠缠态及其实验

在谈到实验之前,还得顺便提一句,我们在本文中所谈到的量子纠缠以及推导贝尔不等式的过程,用的都是 EPR 佯谬简化了的波姆版。也就是说,我们使用了两个不同的自旋 (“上↑”和“下↓”) 来表述量子态,这使得问题叙述起来简化很多,因为在这种只有两个离散变量的情况下,单个粒子的量子态,只对应于二维的希尔伯特空间。

希尔伯特空间可以理解为将维数扩展到无穷大、变量扩展到复数的欧几里德空间。一个量子态被表示为希尔伯特空间中的一个矢量。单粒子的自旋空间是一个简单的二维希尔伯特空间。如果考虑两个粒子系统的自旋状态,便对应于四维的希尔伯特空间。

在爱因斯坦等人的原始 EPR 文章中,是用两个粒子的位置及动量来描述粒子之间的“纠缠”。位置和动量是连续变量,可以取无穷多个数值,如此表示的量子态则对应于无穷维希尔伯特空间中的矢量。因而,描述和推导都非常复杂,解释起来也困难多了。为简单起见,我们使用自旋或类似的可数离散变量来描述和解释量子态,包括纠缠态。这种方法称之为“离散变量”的方法。但在实际的物理理论和实验中,描述和制备纠缠态时,也可以使用“连续变量”的方法。连续变量和离散变量的纠缠态,在理论和实验研究上有所不同,而在量子信息的应用方面,也各有其优缺点。

自旋空间

在前面的内容中,我们介绍了“叠加态”和“纠缠态”,现在,不妨用点简单的数学来重新整理一下这几个基本概念。

单粒子的自旋量子态,可以表示为二维希尔伯特自旋空间中的一个矢量。著名的英国物理学家狄拉克为量子态空间定义了一套十分优雅的符号系统,比如说,狄拉克用下面两个符号来表示粒子自旋的两个基本状态:|上> 和 |下>,或者记作 |0> 和 |1>。这两个基态是自旋空间的基矢,如下图所示。

640.webp (9).jpg

普通空间和自旋空间(a)二维欧几里德空间;(b)自旋量子态的希尔伯特空间

一个粒子的自旋叠加态,可以表示成这两个基态(自旋本征态)的线性叠加,如图1(b)所示,

640.webp (8).jpg

这里的 C1 和 C2 是满足 |C1|2 + |C2|2 = 1 的任意复数,它们对应于两个本征态在叠加态中所占的比例系数。当 C1 = 0,或者 C2 = 0 时,叠加态就简化成两个本征态。两个比例系数的平方 |C1|2 或 |C2|2 ,分别代表测量时,测得粒子的状态为本征态 |0> 或本征态 |1>的几率。

狄拉克符号下的「猫」

除了自旋系统之外,狄拉克符号及公式 (1) 也可以用以表示其他系统的本征态。比如,在杨氏双缝实验中,电子或光子位置的叠加态可以写成:

640.webp (7).jpg

薛定谔理想实验中的猫,也可以写成叠加态的形式:

640.webp (6).jpg

这个薛定谔猫的例子可以叙述得更具体一些。比如,如果在实验中我们能够确定 C1 = 0.8 和 C2 = 0.6,那么打开盖子时,见到活猫的几率是 0.82 = 0.64,而见到死猫的几率是 0.62 = 0.36。就是说,实验者有 64 % 的概率看见一只活蹦乱跳的猫,而只有 36 % 的概率看见一只死猫。感谢上帝,他并不会看到一只可怖的又死又活的猫!

薛定谔和爱因斯坦认为那种猫很可怕,但根据玻尔一派的观点,那种叠加的“|猫态>”只有可能存在于打开盖子之前,盖子被揭开之时,叠加态便立刻“塌缩”到了其本征态之一。至于打开盖子之前,玻尔等人认为:猫可能根本就不存在,也不用去想它到底是什么模样,那是个毫无意义的问题!

上述两个例子中的状态,诸如|缝1>、|缝2>、|活猫>、|死猫>,都是“本征态”。根据上面的公式(1)可看出,叠加态是普遍的大多数,而本征态只代表 (C1 = 1,C2 = 0)或者(C1=0,C2=1) 的少数极端情况。还可以看出,如果一个粒子处于本征态,那么,它的测量结果是确定的 (几率 = 1)。

本征态是确定性的,因此,只有叠加态才表现出量子力学“既在这儿、又在那儿”的诡异特征。现在,我们从简单的数学表述,更为深刻地理解了:叠加态的存在是量子力学最大的奥秘,是理解量子力学的关键。

纠缠态的数学表述

那么,又应该如何从数学上来表示“纠缠态”呢?我们以最简单的两个粒子的纠缠为例说明。如果有两个粒子 A  和B,它们分别都有两种自旋本征态 |0>,|1>,将它们简写为 (A1, A0) 和 (B1, B0)。从两个单粒子的自旋本征态,应该可以组合成 4 种双粒子自旋本征态:A1B1、A1B0、A0B1、A0B0。

类似于单粒子的情形,这 4 种本征态可以作为 4 维空间的基底,如果以满足一定归一化条件的复数 C1, C2, C3, C4 为系数,便能线性组合成许多混合叠加态。这些叠加态可以分成两大类:纠缠态和非纠缠态。如果一个双粒子叠加态可以写成单个粒子状态的 (张量) 乘积的话,就是非纠缠态,比如下面是一个非纠缠态的例子:

640.webp (5).jpg

因为它可以写成第一个粒子的叠加态 (A0 + A1) 和第二个粒子的叠加态 (B0 - B1) 之乘积的形式。为简单起见,我们在上述量子态的表达式中略去了几率归一化的系数 Ci。

双粒子叠加态

现在,研究下面这几种双粒子叠加态:

640.webp (4).jpg

可以证明,上述叠加态无法表达成两个单粒子状态的乘积,这在物理上意味着两个粒子的状态纠缠在一起不可分。也就是说,如果对其中一个粒子 A 的状态进行测量的话,当 A 塌缩到某个本征态时,粒子 B 的状态也立即塌缩到一个与 A 所塌缩状态相关的本征态,即对 A 的测量将影响对 B 的测量。用上面的量子态“纠缠1”为例来说明这种多粒子复合态如何纠缠。

首先,“纠缠 1”是一个由两个本征态 A0B1 和 A1B0 组成的叠加态。测量之前的状态“既是 A0B1,又是 A1B0”。一旦测量任何一个粒子,比如对粒子 A 进行测量的话,A 的状态立即塌缩成 0,或者 1,几率各半。然而,在测量 A 的瞬时,怪事发生了:虽然 B 没有被测量,但却同时塌缩到与 A 相反的状态,即使这个时候 A 和 B 已经相距很远很远。这便是 A 和 B 互相纠缠的意思。

实际上,薛定谔的猫态并不是简单的死猫和活猫的叠加态,而应该是“猫”和实验中“放射性原子”两者构成的纠缠态:

640.webp (3).jpg

如果使用量子论的正统解释,上面表达式的意思是说,薛定谔的猫与原子组成的两体系统,处于两个本征态的混合,即

640.webp (2).jpg

盒子打开之前,总状态不确定,是 |本征态1> 和 |本征态2> 的混合叠加。盒子一旦打开,总状态塌缩到两个本征态之一,几率各半。

量子与贝尔不等式

现在再回到贝尔不等式。大家还记得,在上一节中,我们是用经典概率方法导出这个不等式的。所以,经典粒子的行动规律一定会受限于这个不等式。但量子理论中的粒子又如何呢?会不会遵循这个不等式?简单的理论推导可以证明:量子粒子的行为是违背贝尔不等式的。

仍然考虑(2)式的叠加态“纠缠1”,它对应的量子态又叫做自旋单态。根据量子力学,如果在夹角为 θ 的两个不同方向上对这个自旋单态粒子对进行观测,理论预言的关联函数平均值将会是 -cosθ。这个结果的推导过程需要用到量子力学自旋的计算,在此不表。但是,我们下面利用这个结论,加上几步简单的代数运算,可以检验量子力学的理论是否符合贝尔不等式。

我们之前得出了贝尔不等式

640.webp (1).jpg

其中的 x,y,z 不一定需要构成三维空间的正交系。比如说,可以取位于同一个平面上的 3 个方向,依次成 60° 的角。这样就有:

640.webp.jpg

代入贝尔不等式左边,则为 |-1/2 - 1/2| = 1,代入贝尔不等式右边,则为 1 - 1/2 = 1/2,因此,对量子力学的这种情况,贝尔不等式不成立。

实验结果

刚才的例子说明,量子理论已经违背了贝尔不等式,实验结果又如何呢?尽管纠缠态是多粒子量子系统中的普遍形式,但是,要在实验室中得到好的纠缠态,可不是那么容易的。有了纠缠度高、效率高、稳定可靠的纠缠态,才有可能在实验室中来验证我们在上一节中说到的贝尔不等式,作出爱因斯坦和量子力学谁对谁错的判决,也才有可能将量子纠缠态实际应用到通讯和计算机工程技术中,实现“量子传输”及“量子计算机”等激动人心的高科技。

上世纪 70 年代早期,一位年轻人走进了哥伦比亚大学“吴夫人” (美籍华人物理学家吴健雄) 的实验室,向吴夫人请教 20 多年前,她和萨科诺夫第一次观察到纠缠光子对的情况,那是在正负电子湮灭时产生的一对高能光子。当时的吴夫人没有太在意年轻学生提出的这个问题,只让他和她的研究生卡斯蒂谈了谈。这位年轻人名叫克劳瑟,出生于美国加利福尼亚的物理世家,因为他的父亲、叔叔及家中几个亲戚都是物理学家,克劳瑟从小就听家人们在一起探讨和争论深奥的物理问题,后来,他进了美国加州理工大学,受到费曼的影响,开始思考量子力学基本理论中的关键问题,他把一些想法和费曼讨论,并告诉费曼说,他决定要用实验来测试贝尔不等式和 EPR 佯谬。据他自己后来半开玩笑地描述当时费曼的激烈反应:“费曼把我从他的办公室里扔了出去!”

贝尔定理和贝尔不等式被誉为“物理学中最重要的进展”之一。之后,贝尔不等式被一个紧紧纠缠在一起的美国物理学家四人小组 (CHSH) 的工作所改良,称为 CHSH 不等式。这四个人的名字是:克劳瑟、霍恩、西摩尼、霍尔特。上面提到的年轻人就是其中之一。尽管当克劳瑟对费曼说,他要用实验来检验贝尔定理,费曼激动得把他从办公室赶了出去。但克劳瑟却坚信实验的必要性,他总记得同是物理学家的父亲常说的一句话:“别轻易相信理论家们构造的各种各样漂亮的理论,最后,他们也一定要回过头来,看看实验中你得到的那些原始数据!”后来,克劳瑟及其合作者果然成为 CHSH - 贝尔不等式实验验证的第一人。

参考文献
[1] Heisenberg W. Zeitschrift für Physik,1927,43:172
[2] Schrödinger E. Naturwissenschaften ,1935,23:807-812,823-828,844-849
[3] Feynman R. The Character of Physical Law,1965. chapter 6(Probability and Uncertainty— the Quantum Mechanical View of Nature),p.129
[4] John G. In Search of Schrödinger's Cat. Toronto:Bantam Books,1984,p.5
[5] Schrödinger E. What Is Life? The Physical Aspect of the Living Cell,1944.
Based on lectures delivered under the auspices of the Dublin Institute for AdvancedStudies at Trinity College. Dublin,in February 1943
[6] In a conversation with Timothy Ferris (4 April 1983), as quoted in The Whole Shebang (1998) by Timothy Ferris ,p. 345

[7] Einstein A,Podolsky B,Rosen N. Phys. Rev.,1935,47:777

[8] Schrödinger E. Naturwissenschaften,1935,23:807—812;823—828;844—849

[9] 方励之. 物理学和质朴性——没有定律的定律. 安徽科学技术出版社,1982

[10] 张天蓉. 科学学与科学技术管理,1985,(2):19


附件列表
640.webp (16).jpg

原图尺寸 66.29 KB

640.webp (16).jpg

640.webp (15).jpg

原图尺寸 80.41 KB

640.webp (15).jpg

640.webp (14).jpg

原图尺寸 39.9 KB

640.webp (14).jpg

640.webp (13).jpg

原图尺寸 57.48 KB

640.webp (13).jpg

二维码

扫码加我 拉你入群

请注明:姓名-公司-职位

以便审核进群资格,未注明则拒绝

栏目导航
热门文章
推荐文章

说点什么

分享

扫码加好友,拉您进群
各岗位、行业、专业交流群