经管之家App
让优质教育人人可得
立即打开
全部版块
我的主页
›
论坛
›
提问 悬赏 求职 新闻 读书 功能一区
›
经管百科
›
爱问频道
求解HJB方程(微分方程)
楼主
w826282215
4541
1
收藏
2018-11-18
悬赏
80
个论坛币
未解决
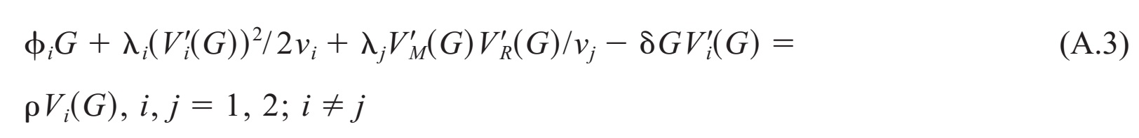
在求解微分方程(A3)时
作者假设解具有形式(A4),这种假设的依据或规则是什么?
论文为
Jorgensen-2000-Dynamic cooperative advertising.pdf
大小:(165.15 KB)
马上下载
A3.jpg
原图尺寸 35.9 KB
扫码加我 拉你入群
请注明:姓名-公司-职位
以便审核进群资格,未注明则拒绝
全部回复
沙发
重回落笔
2019-9-4 14:51:58
guess and verify
扫码加我 拉你入群
请注明:姓名-公司-职位
以便审核进群资格,未注明则拒绝
相关推荐
一阶非线性非齐次微分方程怎么求出显式解?
随即微分方程及应用(A.弗里德曼,中文版)
解微分方程
求助,,,帮解一道微分方程
(可能是)关于微分方程
求助时滞微分方程的分支分析代码
工科微分方程教程-黄建华,王晓 编著,2009
求助复合函数求极值,以及威尔逊1979论文思路
微分方程I讲义
微分方程
栏目导航
爱问频道
金融类
经管高考
经管文库(原现金交易版)
学习笔记1.0
stata专版
热门文章
2026年Stata初高级寒假班—AI赋能+原理+操作 ...
CDA数据分析脱产就业班于2025年12月08日开班 ...
CDA数据分析师实战核心:假设检验的逻辑、方 ...
现代数学译丛29整数分拆,(美)GeorgeE.And ...
2026广西板材十大品牌权威发布:香德里国际 ...
共封装光学器件(CPO)手册——以光为介质实 ...
2026年人工智能将如何演变
典型群(华罗庚)
青年科学基金项目(C类) 申请书填报说明 ( ...
广西板材十大品牌香德里国际:以环保科技, ...
推荐文章
26年寒假天津站|Gemini论文写作&数据分析 ...
2026JG学术冬训营:从Stata初高到Python机器 ...
关于如何利用文献的若干建议
关于学术研究和论文发表的一些建议
关于科研中如何学习基础知识的一些建议 (一 ...
一个自编的经济学建模小案例 --写给授课本科 ...
AI智能体赋能教学改革: 全国AI教育教学应用 ...
2025中国AIoT产业全景图谱报告-406页
关于文献求助的一些建议
几种免费下载文献的方法----我的文献应助经
说点什么
分享
微信
QQ空间
QQ
微博
扫码加好友,拉您进群
各岗位、行业、专业交流群