经管之家App
让优质教育人人可得
立即打开
全部版块
我的主页
›
论坛
›
计量经济学与统计论坛 五区
›
计量经济学与统计软件
怎么对连续时间状态变量离散化
楼主
霸王龙与犬次郎
1760
1
收藏
2018-11-20
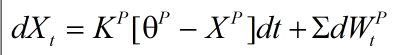
状态变量
将上述的连续时间状态变量离散化得到
为什么啊?怎么得到的呀
扫码加我 拉你入群
请注明:姓名-公司-职位
以便审核进群资格,未注明则拒绝
全部回复
沙发
admin_kefu
2018-11-22 11:26:16
您好,如果您的求助没有解决,请到项目交易发布需求,会有更专业的用户帮助您
https://bbs.pinggu.org/z_prj.php
扫码加我 拉你入群
请注明:姓名-公司-职位
以便审核进群资格,未注明则拒绝
栏目导航
计量经济学与统计软件
金融实务版
休闲灌水
人工智能论文版
stata专版
行业分析报告
热门文章
CDA数据分析师实战:指标体系搭建的全流程方 ...
“奇瑞品质”再获权威认证
祝贺奇瑞!祝贺尹同跃!
【24重磅,顶刊方法!】2010-2024上市公司绿色 ...
【自用整理,24更新!】2009-2024上市公司华证 ...
Explainable Prognostics and Data-Driven ...
当AI遇见ML:高校教师如何借助AI与机器学习 ...
《数据要素发展报告(2025年)》---来源:中 ...
CDA数据分析师:全流程拆解数据治理开展路径 ...
【多指标】2000-2024年上市公司企业债务融资 ...
推荐文章
12月武汉站|Deepseek辅助论文写作与数据分 ...
2026JG学术冬训营:从Stata初高到Python机器 ...
关于如何利用文献的若干建议
关于学术研究和论文发表的一些建议
关于科研中如何学习基础知识的一些建议 (一 ...
一个自编的经济学建模小案例 --写给授课本科 ...
AI智能体赋能教学改革: 全国AI教育教学应用 ...
2025中国AIoT产业全景图谱报告-406页
关于文献求助的一些建议
几种免费下载文献的方法----我的文献应助经
说点什么
分享
微信
QQ空间
QQ
微博
扫码加好友,拉您进群
各岗位、行业、专业交流群