全部版块 我的主页
论坛 休闲区 十二区 休闲灌水
1318 3
2018-12-02

640.webp.jpg


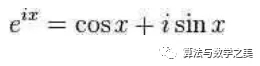
欧拉公式是数学里最令人着迷的公式之一,它将数学里最重要的几个常数联系到了一起:两个超越数:自然对数的底e,圆周率π;两个单位:虚数单位i和自然数的单位1,以及数学里常见的0。

640.webp (1).jpg


而且它对数学领域的缔造也产生了广泛影响,如三角函数、傅里叶级数、泰勒级数、概率论、群论等都有她的倩影。

因此,数学家们评价它是“上帝创造的公式,我们只能看它却不能完全理解它”。

640.webp (2).jpg


而且,这个公式对物理学影响也非常巨大,如机械波论、电磁学、波动光学、量子力学等匍匐在她的脚下;难怪物理学家查德·费曼惊呼:欧拉恒等式不但是“数学最奇妙的公式”,也是现代物理学的定量之跟,因为她把最基本的5个数学常数简洁地连系起来,而且也将物理学中的圆周运动、简谐振动、机械波、电磁波、概率波等联系在了一起......

640.webp (3).jpg


欧拉恒等式是:

640.webp (4).jpg


其中e是自然指数的底,i是虚数单位,π是圆周率。

这条恒等式第一次出现于1748年欧拉在洛桑出版的书Introduction,它是复分析的欧拉公式特例。

对于任意实数x,则有

640.webp (5).jpg


令x=π代入上式,则可得出欧拉恒等式。

在欧拉公式中,虚数i占有特殊的地位,认识这个公式就需先从i开始:

虚数i大家在高中接触过,但那时我们只知道它是-1的平方根,可是它真正的意义是什么呢?

这里有一条数轴,在数轴上有一个红色线段,它的长度是1。当它乘以3的时候,它的长度发生了变化,变成了蓝色的线段3,而当它乘以-1的时候,就变成了绿色的线段,或者说线段在数轴上围绕原点旋转了180度。

640.webp (6).jpg


我们知道乘-1其实就等于乘了两次 i,因i×i=-1,这样就使线段旋转了180度,那么乘一次 i 呢?

答案很简单:旋转了90度呗。

640.webp (7).jpg


如果我们将这种运算放到坐标平面上来表示,则实轴与虚轴就构成了一组对称线段,我们再在0处安插一个垂直此线段的轴,这样就构成了一个平面,我们称之为复数平面;在这个平面上,我们可以看出,虚数i的功能就是旋转。

640.webp (8).jpg


对于欧拉公式

640.webp (9).jpg

这个公式在数学领域的意义要远大于傅里叶分析,当x=π时,则有

640.webp (10).jpg


它对描述圆周运动的物理意义就是圆心位移为0,如下图:

640.webp (11).jpg


这个公式的关键作用就是将正弦波统一成了简单的指数形式,我们来看看它图像上的涵义:

640.webp (12).jpg


可见,欧拉公式所描绘的正是在复平面上做圆周运动的点,随着时间的改变,这个点在时间轴上就成了一条螺旋线。如果只看它的实数部分,也就是螺旋线在左侧的投影,就是一个最基础的余弦函数,而右侧投影则是一个正弦函数。

640.webp (13).jpg


现代物理学告诉我们,宏观宇宙的构成本质是旋转的,带有圆周运动和自旋性;微观世界也是旋转的,也带有圆周运动和自旋性,而欧拉公式描述的核心正是旋转与频率,因此,在物理学定量意义上讲,称它是宇宙第一公式一点也不为过!


二维码

扫码加我 拉你入群

请注明:姓名-公司-职位

以便审核进群资格,未注明则拒绝

全部回复
2018-12-2 11:51:29
欧拉恒等式具有巨大的魅力,其魔力吸引无数研究者为之着迷。。。
二维码

扫码加我 拉你入群

请注明:姓名-公司-职位

以便审核进群资格,未注明则拒绝

2018-12-2 12:16:43
了解,谢谢提供分享!
二维码

扫码加我 拉你入群

请注明:姓名-公司-职位

以便审核进群资格,未注明则拒绝

2018-12-2 12:22:46
了解,谢谢发表分享!
二维码

扫码加我 拉你入群

请注明:姓名-公司-职位

以便审核进群资格,未注明则拒绝

栏目导航
热门文章
推荐文章

说点什么

分享

扫码加好友,拉您进群
各岗位、行业、专业交流群