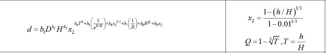
大家好,向大家请教一下如何使用R或者SAS消除非线性模型中非等距的2阶后滞CAR(2)。我的模型形式如下图所示

。
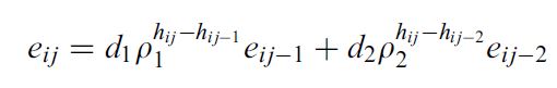
其中d为因变量,D,H,h为因变量,其中h由于是同一个体非等距测量,所以才同一个个体中存在自相关性。通过查阅文献,消除自相关需要加入2阶后滞才能完全消除,残差公式表示如下。

。
我要想达到的效果是
。
我的数据结构如下
。其中bolt就是非线性模型中的h,tht是H,dbh是D.
我利用sas加入了一阶后滞CAR(1)后模型收敛,但是加入CAR(2)时模型参数p2不显著。
加入CAR(2) SAS代码如下
PROC model data=fit_taper method=marquardt sur dw collin;
exogenous bolt tht dbh;
endogenous dob ;
parms b0 0.9884 b1 0.9478 b2 0.0735 b3 0.4884 b4 0.2783
b5 0.5511 b6 -1.1 b7 -0.0389 b8 0.2579 p1 0.6 p2 0.001;/*表示赋初始参数*/
dob=
b0*(dbh**b1)*(tht**b2)*((1-(bolt/tht)**(1/3))/(1-(1.3/tht)
**(1/3)))**(b3*(bolt/tht)**4+b4*(1/exp(dbh/tht))+b5*((1-(bolt/tht)**(1/3))/(1-(1.3/tht)**(1/3)))**0.1+b6*(1/dbh)+b7*tht**(1-(bolt/tht)**(1/3))+b8*((1-(bolt/tht)**(1/3))/(1-(1.3/tht)**(1/3))))
+(J>1)*p1**(bolt-zlag1(bolt))*zlag1(dob-(b0*(dbh**b1)*(tht**b2)*((1-(bolt/tht)**(1/3))/(1-(1.3/tht)
**(1/3)))**(b3*(bolt/tht)**4+b4*(1/exp(dbh/tht))
+b5*((1-(bolt/tht)**(1/3))/(1-(1.3/tht)**(1/3)))**0.1
+b6*(1/dbh)+b7*tht**(1-(bolt/tht)**(1/3))
+b8*((1-(bolt/tht)**(1/3))/(1-(1.3/tht)**(1/3))))))
+(J>2)*p2**(bolt-zlag2(bolt))*zlag2(dob-(b0*(dbh**b1)*(tht**b2)*((1-(bolt/tht)**(1/3))/(1-(1.3/tht)
**(1/3)))**(b3*(bolt/tht)**4+b4*(1/exp(dbh/tht))+b5*((1-(bolt/tht)**(1/3))/(1-(1.3/tht)**(1/3)))**0.1+b6*(1/dbh)+b7*tht**(1-(bolt/tht)**(1/3))+b8*((1-(bolt/tht)**(1/3))/(1-(1.3/tht)**(1/3)))));
fit dob ;
run; /*表示结束运算*/
其中红色部分表示原非线性模型,蓝色的依照消除自相关残差公式的2阶后滞。结果显示模型的p2不显著。所以有没有人会这方面的知识,能帮忙解决吗?谢谢