全部版块 我的主页
论坛 会计与财务管理论坛 七区 会计与财务管理
2886 0
2019-02-19

【例】李先生在甲企业任职,2019年1月-12月每月在甲企业取得工资薪金收入16000元,无免税收入;每月缴纳三险一金2500元,从1月份开始享受子女教育和赡养老人专项附加扣除共计为3000元,无其他扣除。另外,2019年3月取得劳务报酬收入3000元,稿酬收入2000元,6月取得劳务报酬收入30000元,特许权使用费收入2000元。

一、预扣预缴环节

(一)工资薪金所得预扣预缴计算

1.政策规定

《国家税务总局关于发布<个人所得税扣缴申报管理办法(试行)>的公告》(国家税务总局公告2018年第61号),扣缴义务人向居民个人支付工资、薪金所得时,应当按照累计预扣法计算预扣税款,并按月办理扣缴申报。

累计预扣法,是指扣缴义务人在一个纳税年度内预扣预缴税款时,以纳税人在本单位截至当前月份工资、薪金所得累计收入减除累计免税收入、累计减除费用、累计专项扣除、累计专项附加扣除和累计依法确定的其他扣除后的余额为累计预扣预缴应纳税所得额,适用个人所得税预扣率表一(见附件),计算累计应预扣预缴税额,再减除累计减免税额和累计已预扣预缴税额,其余额为本期应预扣预缴税额。余额为负值时,暂不退税。纳税年度终了后余额仍为负值时,由纳税人通过办理综合所得年度汇算清缴,税款多退少补。

具体计算公式如下:

本期应预扣预缴税额=(累计预扣预缴应纳税所得额×预扣率-速算扣除数)-累计减免税额-累计已预扣预缴税额

累计预扣预缴应纳税所得额=累计收入-累计免税收入-累计减除费用-累计专项扣除-累计专项附加扣除-累计依法确定的其他扣除

其中:累计减除费用,按照5000元/月乘以纳税人当年截至本月在本单位的任职受雇月份数计算。

2.计算过程

(1)2019年1月:

1月累计预扣预缴应纳税所得额=累计收入-累计免税收入-累计减除费用-累计专项扣除-累计专项附加扣除-累计依法确定的其他扣除=16000-5000-2500-3000=5500元,对应税率为3%。

1月应预扣预缴税额=(累计预扣预缴应纳税所得额×预扣率-速算扣除数)-累计减免税额-累计已预扣预缴税额=5500×3%=165元

2019年1月,甲企业在发放工资环节预扣预缴个人所得税165元。

(2)2019年2月:

2月累计预扣预缴应纳税所得额=累计收入-累计免税收入-累计减除费用-累计专项扣除-累计专项附加扣除-累计依法确定的其他扣除=16000×2-5000×2-2500×2-3000×2=11000元,对应税率为3%。

2月应预扣预缴税额=(累计预扣预缴应纳税所得额×预扣率-速算扣除数)-累计减免税额-累计已预扣预缴税额=11000×3%-165=165元

2019年2月,甲企业在发放工资环节预扣预缴个人所得税165元。

(3)2019年3月:

3月累计预扣预缴应纳税所得额=累计收入-累计免税收入-累计减除费用-累计专项扣除-累计专项附加扣除-累计依法确定的其他扣除=16000×3-5000×3-2500×3-3000×3=16500元,对应税率为3%。

3月应预扣预缴税额=(累计预扣预缴应纳税所得额×预扣率-速算扣除数)-累计减免税额-累计已预扣预缴税额=16500×3%-165-165=165元

2019年3月,甲企业在发放工资环节预扣预缴个人所得税165元。

(4)其他月份

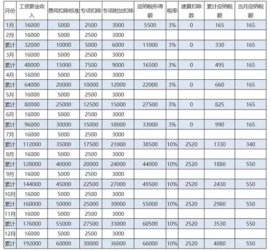
按照上述方法以此类推,计算得出李先生各月个人所得税预扣预缴情况明细表

2019年1—12月工资薪金个人所得税预扣预缴计算表(单位:元)

640.webp.jpg

(二)其他综合所得(劳务报酬、稿酬、特许权使用费所得)预扣预缴个人所得税计算

1.政策规定

扣缴义务人向居民个人支付劳务报酬所得、稿酬所得、特许权使用费所得时,应当按照以下方法按次或者按月预扣预缴税款:

劳务报酬所得、稿酬所得、特许权使用费所得以收入减除费用后的余额为收入额;其中,稿酬所得的收入额减按百分之七十计算。

减除费用:预扣预缴税款时,劳务报酬所得、稿酬所得、特许权使用费所得每次收入不超过四千元的,减除费用按八百元计算;每次收入四千元以上的,减除费用按收入的百分之二十计算。

应纳税所得额:劳务报酬所得、稿酬所得、特许权使用费所得,以每次收入额为预扣预缴应纳税所得额,计算应预扣预缴税额。劳务报酬所得适用个人所得税预扣率表二(见附件),稿酬所得、特许权使用费所得适用百分之二十的比例预扣率。

2.计算过程

(1)2019年3月,取得劳务报酬收入3000元,稿酬收入2000元

劳务报酬所得预扣预缴应纳税所得额=每次收入-800元=3000-800元=2200元

劳务报酬所得预扣预缴税额=预扣预缴应纳税所得额×预扣率-速算扣除数=2200×20%-0=440元

稿酬所得预扣预缴应纳税所得额=(每次收入-800元)×70%=(2000-800元)×70%=840元

稿酬所得预扣预缴税额=预扣预缴应纳税所得额×预扣率=840×20%=168元

李先生3月劳务报酬所得预扣预缴个人所得税440元;稿酬所得预扣预缴税额个人所得税168元。

(2)2019年6月,取得劳务报酬30000元,特许权使用费所得2000元

劳务报酬所得预扣预缴应纳税所得额=每次收入×(1-20%)=30000×(1-20%)=24000元

劳务报酬所得预扣预缴税额=预扣预缴应纳税所得额×预扣率-速算扣除数=24000×30%-2000=5200元

特许权使用费所得预扣预缴应纳税所得额=(每次收入-800元)=(2000-800元)=1200元

特许权使用费所得预扣预缴税额=预扣预缴应纳税所得额×预扣率=1200×20%=240元

李先生6月劳务报酬所得预扣预缴个人所得税5200元;稿酬所得预扣预缴税额个人所得税240元。

二、年度汇算清缴

1.政策规定

《中华人民共和国个人所得税法》第六条规定,居民个人的综合所得,以每一纳税年度的收入额减除费用六万元以及专项扣除、专项附加扣除和依法确定的其他扣除后的余额,为应纳税所得额。

劳务报酬所得、稿酬所得、特许权使用费所得以收入减除百分之二十的费用后的余额为收入额。稿酬所得的收入额减按百分之七十计算

2.计算过程

(1)年收入额=工资、薪金所得收入+劳务报酬所得收入+稿酬所得收入+特许权使用费所得收入=16000×12+(3000+30000)×(1-20%)+2000×(1-20%)×70%+2000×(1-20%)=221120元

(2)综合所得应纳税所得额=年收入额-6万元-专项扣除-专项附加扣除-依法确定的其他扣除=221120-60000-(2500×12)-(3000×12)=95120元

(3)应纳税额=应纳税所得额×税率-速算扣除数=95120×10%-2520=6992元

(4)预扣预缴税额=工资、薪金所得预扣预缴税额+劳务报酬所得预扣预缴税额+稿酬所得预扣预缴税额+特许权使用费所得预扣预缴税额=4080+(440+5200)+168+240=10128元

(5)年度汇算应补退税额=应纳税额-预扣预缴税额=-3136元,

汇算清缴应退税额3136元。


二维码

扫码加我 拉你入群

请注明:姓名-公司-职位

以便审核进群资格,未注明则拒绝

栏目导航
热门文章
推荐文章

说点什么

分享

扫码加好友,拉您进群
各岗位、行业、专业交流群