经管之家App
让优质教育人人可得
立即打开
全部版块
我的主页
›
论坛
›
计量经济学与统计论坛 五区
›
计量经济学与统计软件
›
Stata专版
空间杜宾面板模型 双固定效应结果如何显示?
楼主
光荣感人
5202
3
收藏
2019-02-28
悬赏
20
个论坛币
未解决
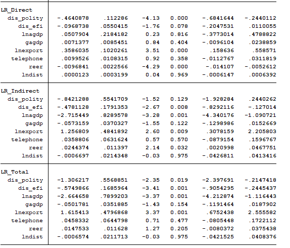
提问:我现在的命令就是双固定的命令,出来的结果如图,但是编辑部要求将双固定效应列出来,不知道stata要如何实现?
xsmle lnofdi dis_polity dis_efi lnagdp gagdp lnexport telephone reer lndist,fe model(sdm) wmat(W56)type(both)nolog effects
扫码加我 拉你入群
请注明:姓名-公司-职位
以便审核进群资格,未注明则拒绝
全部回复
沙发
jiguishen1
2019-5-4 19:09:48
个体固定和时间固定,双固定选择哪个有根据吗楼主,没见过有列出来固定效应结果的论文啊
扫码加我 拉你入群
请注明:姓名-公司-职位
以便审核进群资格,未注明则拒绝
藤椅
和你一样0
2020-3-20 22:45:42
我也想问楼上问的问题。怎么判断是选择个体固定、时间固定还是双固定呢
扫码加我 拉你入群
请注明:姓名-公司-职位
以便审核进群资格,未注明则拒绝
板凳
田宇薇
2021-2-7 07:59:34
和你一样0 发表于 2020-3-20 22:45
我也想问楼上问的问题。怎么判断是选择个体固定、时间固定还是双固定呢
利用豪斯曼检验,哪个效应p值显著确定选择哪个效应
扫码加我 拉你入群
请注明:姓名-公司-职位
以便审核进群资格,未注明则拒绝
相关推荐
用STATE处理面板数据时如何选择是固定效应还是随机效应?
求助,关于混合估计、固定效应、随机效应
固定效应回归
急~求问高手两个固定效应如何实现
在stata里面如何实现行业和省份固定效应
求助行业固定效应和年固定效应在stata中如何实现
空间计量做hausman检验的时候固定效应和随机效应的模型要一样么?
固定效应 共线性问题
选择随机固定效应还是混合效应的LR检验怎么做呢?命令是什么?
面板数据:这个命令到底属于固定效应还是随机效应?
栏目导航
Stata专版
宏观经济学
数据交流中心
计量经济学与统计软件
微观经济学
会计与财务管理
热门文章
表格结构数据的核心特征及具象实例解析
2026中信里昂风水指数
2026年中国白银行业市场供需现状及发展趋势 ...
查找文献Digital mapping of soil organic ...
精准匹配,菁英相伴--经管之家单身俱乐部, ...
科研时间70%耗在“下载-复制-粘贴”?零代码 ...
我该如何记住你?智能体记忆系统的演化之路
CDA数据分析脱产就业班于2026年3月7日开班! ...
CDA 认证考试大纲 2025 重磅更新:一二级考 ...
伍德里奇计量经济学导论第六版教材PDF
推荐文章
2026JG学术冬训营:从Stata初高到Python机器 ...
【必看】【本版版规,欢迎发悬赏贴求助】
26年寒假天津站|Gemini论文写作&数据分析 ...
关于如何利用文献的若干建议
关于学术研究和论文发表的一些建议
关于科研中如何学习基础知识的一些建议 (一 ...
一个自编的经济学建模小案例 --写给授课本科 ...
AI智能体赋能教学改革: 全国AI教育教学应用 ...
2025中国AIoT产业全景图谱报告-406页
关于文献求助的一些建议
说点什么
分享
微信
QQ空间
QQ
微博
扫码加好友,拉您进群
各岗位、行业、专业交流群