全部版块 我的主页
论坛 金融投资论坛 六区 金融学(理论版) 量化投资
2700 0
2019-03-08
研究内容

本文主要研究内容是基于rank IC分析医疗板块四大类因子(风格类、技术类、盈利能力类、基本面类)盈利预测能力,以及在此基础上构建医疗板块多因子rank IC赋权模型。


本文将分为以下三个板块:

  • 因子选取及数据预处理
  • 医疗板块因子分析
  • 构建医疗板块多因子模型

因子选取及数据预处理

>>> 因子选取

本文基于海通证券研报的内容,选取四大类因子(风格类、技术类、盈利能力类、基本面类)作为所选研究因子。具体如下表:


1.png


>>> 数据预处理

股票池:申万一级医疗行业中非*ST股
时间维度:2010年1月1日——2018年8月1日
处理方式:去空值、去极值、中性化、标准化


去空值:先将任一因子数据全部为空的股票从股票池中剔除,再将剩余股票的空值用当天医药行业该因子的平均水平进行填充。
去极值:采取中位数去极值法
中性化:将除了市值外的因子对市值进行中性化。因为股票池全部为同一行业的股票。无需对行业哑变量进行中性化。
标准化:采取传统均值标准化方法


医疗板块因子分析

本文的因子分析方式为rank IC均值分析法。rank IC是分析因子有效性的常用指标。


>>> rank IC介绍

因子IC的求解方式为:时间维度上因子与股票收益率相关系数的均值。因子rank IC求解原理与IC相同,不同的仅在于其使用的数据是因子在股票池中的排名而非其数值。这样的做法能够在统计学中避免很多问题,数值效果也更为有效。

具体公式如下:


2.png


t:日期
n:日期总数
rank_Sit:第i个因子在第t天的数据向量
rank_PCTt:第t天的股票收益率数据向量
rank_ICi:第i个因子的IC均值


>>> 医疗行业因子IC分析

医疗板块因子分析的结果汇总如下表:


3.png


可以很明显地看到:对于医药板块而言,部分基本面因子仍然有十分出色的表现。盈利能力因子(ROE)表现也十分出色。换手率、反转率等技术面因子与股票收益率有显著的反向相关关系。

而其中需要注意的是风格类因子:市值、PE和PB的rank IC表现并不出色。但如果将其与股票收益率做回归的话会发现R方仍然很高。其原因是17年后市值因子等出现反转,在17年前市值与股票收益反向相关而17年后变成正向相关,从而使得rank IC均值降低。因此我又测算了rank IC绝对值的均值,发现风格类因子的绝对值均值仍保持在较高水平,说明风格类因子仍然时有效的。


4.png


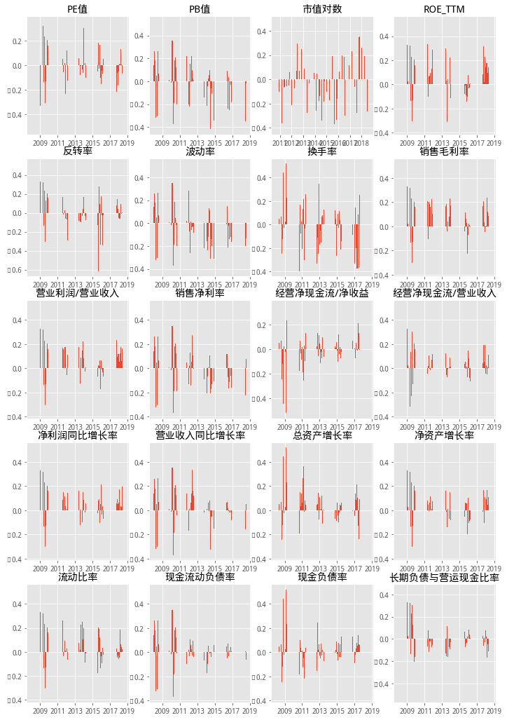
不同因子随时间的IC值如下:


5.png


可以看出:风格类因子(典型如PB值、市值对数)在后期逐渐出现反转趋势。技术类因子与收益率大体呈反向关系。基本面因子中,销售毛利率、净利润同比增长率、销售净利率等具有出色表现,而经营净现金流/净收益、经营净现金流/营业收入等效果不显著。


构建医疗板块多因子模型

根据研报内容,本文先通过逐步筛选法筛选出选股效果最为显著的因子,然后通过因子在不同时间段的rank IC值对因子进行赋权,形成新的组合因子。通过组合因子进行选股。


>>> 逐步筛选法

筛选因子过程中,本文采用了线性回归WLS模型。

模型将股票收益率看做是能用若干因子作为自变量的WLS线性回归模型进行解释的因变量。


本文通过以下筛选条件筛选因子:

  • 已选因子f的WLS模型系数显著
  • 在满足条件一的备选因子中,因子f能使模型新增调整R方最大

通过以上条件,筛选出如下的因子表:


显著性水平=0.2:
PB值、市值对数、换手率、ROE

显著性水平=0.3:
PB值、市值对数、换手率、ROE、销售毛利率、营业收入同比增长率、营业利润/营业收入


>>> 多因子模型

通过以上所选因子,合成新的组合因子。因子的权重为学习周期内各因子的IC均值。然后选取组合因子分数最高的20只股票构建等权组合。


具体参数如下:

调仓周期:1个月
学习周期:12个月
购买股票数量:20
回测周期:2010年1月1日——2018年8月1日
因子池:显著性水平=0.2的因子(显著性水平=0.3的因子也有测试,收益率相差不大但是最大回撤会放大)


在测试中,学习周期为24个月的回测结果不如学习周期为12个月的回测结果。


6.png



7.png


学习周期为6个月的回测结果也不如学习周期为12个月的回测结果。


8.png



该模型策略年化收益达到28.19%,也具有较为明显的超额收益。


总结

常见选股因子在医药行业内存在显著选股效果。风格类因子收益高但稳定性较差,从17年后存在反转趋势。技术类因子较为有效,与收益率呈显著负相关性。基本面因子则部分有效部分不有效。总体而言,企业盈利能力越高,资产增长越快,利润增长越快,盈利质量越好,偿债能力越强,股票收益表现越优。



点击【阅读原文】即可获取完整源代码~

二维码

扫码加我 拉你入群

请注明:姓名-公司-职位

以便审核进群资格,未注明则拒绝

栏目导航
热门文章
推荐文章

说点什么

分享

扫码加好友,拉您进群
各岗位、行业、专业交流群