全部版块 我的主页
论坛 计量经济学与统计论坛 五区 计量经济学与统计软件
1664 0
2019-03-26

为处理数据的空间相关性和空间异质性而发展的空间计量经济学, 已成为空间数据的标准分析工具, 并开始进入计量经济学的主流。从最初的探索性空间数据分析, 空间计量经济学发展到横截面数据空间计量模型, 进一步再到空间面板模型和空间动态面板模型。对不同类型的数据, 空间计量经济学提供了多种估计方法, 这些方法各有短长。在面板数据的实证研究中, 空间溢出效应的测度特别重要且复杂。该问题通过计算直接效应和间接效应得到了较好解决。空间计量经济学未来的发展将集中于空间-时间交互效应的微观机制研究、与联立方程和贝叶斯估计方法的结合, 以及空间计量软件的完善和发展。


人类的经济活动总是在一定的时间和空间维度上进行, 因此, 经济现象不仅表现出时间上的相关, 而且在空间上也表现出某种程度的相关。例如经济发达地区总是联成一片, 相关或相同产业也倾向于在同一地理空间聚集。产生这些空间交互关系的根源有多种:一是观测数据地理位置接近 (geographical proximity) ;二是截面上个体间互相竞争和合作;三是模仿行为, 同一群体中的个体会模仿特定个体的行为;四是溢出效应 (spillover effect) , 例如地理位置上靠近科研院所及高校可能会增强企业的创新能力; 五是测量误差, 数据一般是按照行政区划统计的, 这种行政划定的空间单位与研究问题的实际边界很可能不一致。


如果所得数据的观测值之间存在空间相关性, 则彼此不能够保持独立。经典的高斯-马尔可夫假设则要求解释变量相互独立。同样, 如果数据中存在空间异质性, 也会违背高斯-马尔可夫假设中的误差项同方差假定。这样, 直接使用标准的计量经济学方法进行估计, 将产生估计偏倚, 需要新的计量方法来处理这种空间相关性和空间异质性。空间计量经济学正是为处理这些空间交互关系而发展起来的。


空间计量经济学 (spatial econometrics) 的概念最早由Paelinck[1]提出, Cliff等[2-3]针对空间自回归模型发展出相应的参数估计和检验技术。Anselin[4]对空间计量经济学做了系统的理论梳理, 提出了一系列空间计量经济学模型的不同估计方法, 奠定了空间计量经济学的基本框架。最近30年, 空间计量经济学获得了巨大发展, 开始从边缘进入计量经济学的主流, 不仅在区域经济学、城市和房地产经济学及经济地理学等传统关注空间的经济学科中成为标准分析工具, 而且在国际经济学、劳动经济学、公共经济学、政治学、资源和环境经济学及发展经济学中也得到了越来越广泛的运用。


1 .探索性空间数据分析

判断数据的空间相关性存在与否, 先要进行探索性空间数据分析(exploratory spatial data analysis, ESDA) 。Anselin[5]提出了探索性空间数据分析的一些基本方法和准则。探索性空间数据分析具体而言就是描述数据的空间分布并加以可视化, 识别空间数据的异常值, 检测社会和经济现象的空间集聚, 以及展示数据的空间结构, 提示现象之间的空间相互作用机制。其核心工作包括空间权重矩阵的构建, 以及全局空间自相关、局部空间自相关的度量与空间关联的识别等。


1.1 空间权重矩阵的设定


空间自相关与时间自相关类似, 但远比后者复杂。这是因为时间是一维的, 只有从过去到未来一个方向, 而空间是多维的, 至少有前、后、左、右4个方向。因此, 在度量空间自相关时, 必须解决地理空间结构的数学表达, 恰当定义空间对象的相互邻接关系。空间权重矩阵的引入, 是进行探索性空间数据分析的前提和基础。如何合适地选择空间权重矩阵一直以来是探索性空间数据分析的重点和难点问题。 设截面个体数量为n, 则建立的空间权重矩阵Wn为n×n的对称矩阵, 其元素为{Wij}, i, j=1, …, n。其中对角线上的元素被设为0, 而Wij表示区域i和区域j在空间上联系的紧密程度。为了减少或消除区域间的外在影响, 以及使得W不再具有量纲, 权重矩阵通常被标准化成行元素之和为1。 空间权重矩阵W的确定, 一般考虑地理空间关联或者经济联系。其中, 衡量地理联系主要通过邻近指标和距离指标。按照这两种方法确定的W为二进制的邻近空间权重矩阵。


1.1.1 基于邻近概念的空间权重矩阵


根据相邻标准, Wij为:

640.webp (17).jpg

根据Anselin[6], 相邻一般有Rook邻近和Queen邻近2种计算方法。其中Rook邻近定义为仅有共同边界, 而Queen邻近除了共有边界外还包括共同顶点。空间权重矩阵除了一阶邻近矩阵外, 还有更高阶的邻近矩阵。Anselin等[7]提出了高阶邻近矩阵的算法, 比较常见的是二阶邻近矩阵 (the second order contiguity matrix) 。


该矩阵刻画了邻居的邻居的空间信息, 当存在某种空间溢出效应时, 特别有用。例如, 特定地区的初始效应或随机冲击不仅会影响其邻近地区, 而且随着时间的推移还会影响其邻近地区的邻近地区。


可以看出, 邻近空间权重矩阵因其对称性及计算简单而较为常用, 适合于测算地理空间效应的影响。但是, 如果空间单元大小相差悬殊, 则可能导致非常不平衡的邻近矩阵结构。例如, 空间单元的面积相差较大时, 较小地理单元具有较多邻近单元, 而较大地理单元则只有较少邻近单元。这时, K值最邻近空间矩阵 (K-nearest neighbor spatial weights) 就是更好的选择了[6]。一般是选择最邻近的4个单元来计算K值最近邻居权重的大小。当然也可选4个以上, 根据实际情况而定。


1.1.2 基于距离的空间权重矩阵


这种矩阵假定空间相互作用强度取决于地区间的质心距离或者区域行政中心所在地之间的距离, 在实践中也较为常见。Wij的取值取决于选定的函数形式 (比如距离的倒数或倒数的平方等) 。当然, 实际运用中有时还会定义一个门槛距离, 超过了该门槛距离则区域间的相互作用可以忽略不计。


如果输入的数据库中有x、y经纬度坐标数据, 可以通过x、y坐标计算2点 (2个地区的质心) 之间的距离而获得空间权重矩阵。坐标的度量有欧氏距离 (Euclidean distance) 和弧度距离 (arc distance) 2种, 度量坐标系上任意2点间的距离可以通过具有地理坐标 (x坐标、y坐标) 的变量的点来计算。


1.1.3 经济社会空间权重矩阵


除了使用真实的地理坐标计算地理距离外, 还有包括经济和社会因素等更加复杂的权重矩阵设定方法。比如, 可根据区域间交通运输流、通讯量、GDP总额、贸易流动、资本流动、人口迁移及劳动力流等确定空间权重。 尽管二进制的空间邻近权重矩阵并非适用于所有的空间计量经济模型, 但是, 出于实用性, 一般先从空间邻近的最基本二进制矩阵开始, 逐步选择确定空间权重矩阵。关于各种权重矩阵的选择, 由于目前还没有一致认同的完善理论, 故最终还是看结果是否客观和科学。


1.2 全局空间自相关分析


全局空间自相关可以衡量区域之间整体上的空间关联与空间差异程度。Moran餓指数、Geary餋指数及Getis指数是3个常用的度量空间自相关的全局指标。全局Moran指数是用来度量空间自相关的全局指标, 反映的是空间邻接或空间邻近的区域单元属性值的相似程度, 即测量区域单元的集聚效应, 是否具有相同属性的区域单元在空间上或地理上邻近, 其计算公式为:


640.webp (16).jpg

式 (1) 中:Xi—区域i经济变量的观测值;X—区域间经济变量的平均数;Zi—对X的离差;Wij—空间权重矩阵W的元素, 用来表示区域i与j的空间邻近关系, 可以根据邻接标准或距离标准来度量。


Moran指数I的取值一般为[-1, 1], 小于0表示负相关, 等于0表示不相关, 大于0表示正相关。 对于Moran指数, 可以用标准化统计量Z来检验n个区域是否存在空间自相关关系, Z的计算公式为:


640.webp (15).jpg

当Z值为正且显著时, 表明存在正的空间自相关, 也就是说相似的观测值 (高值或低值) 趋于空间集聚;当Z值为负且显著时, 表明存在负的空间自相关, 相似的观测值趋于分散分布;当Z等于0时, 观测值呈独立随机分布。


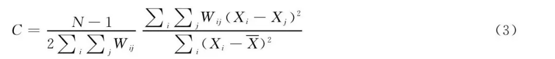
Geary指数的计算公式为:


640.webp (14).jpg

Geary指数C的取值一般为[0, 2]之间, 大于1表示负相关, 等于1表示不相关, 而小于1表示正相关。Geary指数与Moran指数存在负相关关系。


由于全局Moran指数不能判断空间数据是高值聚集还是低值聚集, Getis等[8]提出了全局Getis指数。Getis指数一般采用距离权重, 要求空间单元的属性值为正, 其计算公式为:

640.webp (13).jpg

1.3 局部空间自相关分析

全局空间自相关反映在研究区域内相似属性的平均聚集程度, 局部空间自相关则针对这些区域的具体情况进行分析。当需要进一步考虑哪个区域单元对于全局空间自相关的贡献更大, 就必须应用局部空间自相关分析。实际上, 反映空间联系的局部指标很可能和全局指标不一致, 尤其在大样本数据中。


在强烈而显著的全局空间联系之下, 可能掩盖着局部的空间联系趋势和全局的趋势恰恰相反的情况, 这时进行局部空间自相关分析来探测局部空间联系很有必要。


局部空间自相关分析方法包括局部Moran指数、局部Getis指数和Moran散点图3种分析方法。


局部Moran指数也称LISA指数 (local indicators of spatial associations, LISA) , 其计算公式为:

640.webp (12).jpg

式 (5) 中:Ii—区域的局部Moran指数;其余符号意义同式 (1) 。Ii >0, 表示该空间单元与邻近单元的属性值相似 (“高 -高”或“低 -低”) ;则表示该空间单元与邻近单元的属性值不相似 (“高 -低”或“低 -高”) 。加总的局部Moran指数与全局Moran指数存在某种比例关系。 局部Getis指数的计算公式为:

640.webp (11).jpg

Moran散点图的4个象限分别对应于空间单元与其邻居之间4种类型的局部空间联系形式:第一象限代表了高观测值的空间单元为同是高值的区域所包围的空间联系形式, 第二象限代表了低观测值的空间单元为高值的区域所包围的空间联系形式, 第三象限代表了低观测值的空间单元为同是低值的区域所包围的空间联系形式, 第四象限代表了高观测值的区域单元为低值的区域所包围的空间联系形式。与局部Moran指数相比, Moran散点图虽然不能获得局部空间聚集的显著性指标, 但是二维图像非常直观和易于理解, 同时还能进一步具体区分空间单元和其邻居之间属于高值和高值及低值和低值、高值和低值及低值和高值之中的哪一种。

2 .适用于横截面数据的空间计量模型

如果探索性空间数据分析确实发现了数据的空间相关性, 则需要采用空间计量分析。空间计量模型的构建通常有从特殊到一般和从一般到特殊的2种范式。第一种范式的标准做法通常是从线性回归模型开始, 然后检验是否需要增加空间交互效应。这个线性回归模型一般表示如下:

640.webp (10).jpg

式 (7) 中:Y—被解释变量的N×1向量;ιN—与常数项相关的N×1单位向量;X—外生解释变量的N×K的矩阵;β—相关的K×1系数向量;ε—随机扰动项向量, ε= (ε1, …, εN) T, 其中εi是零均值、常方差、独立同分布的误差项。线性回归模型通常利用普通最小二乘法 (OLS) 来估计, 因此常称为OLS模型。


即便OLS模型在大多数关注空间交互效应的研究中被拒绝, 其估计结果通常也作为一个基准。


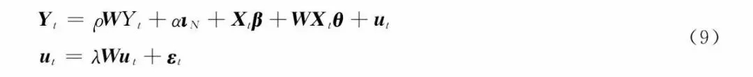
第二种范式是从最一般的模型开始, 一些相对简单的模型可以嵌套其中作为一个特例。从建模的角度看, 空间计量涉及的空间交互关系可以归并为3类:因变量之间的内生交互作用, 自变量之间的外生交互作用和误差项之间的交互作用。这3种交互关系或者交互效应的具体解释如下。

640.webp (9).jpg

640.webp (8).jpg

640.webp (7).jpg

包含这3种交互效应的最一般模型可以表示如下:

640.webp (6).jpg

式 (8) 中:WY—因变量之间的内生交互效应;WX—自变量之间的外生交互效应;Wu—误差项之间的交互效应;ρ—空间自回归系数;λ—空间自相关系数;θ、β—相应的自变量和空间滞后自变量的系数向量; W—非负的N×N空间权重矩阵。 对包含交互效应的模型现在发展出3种方法来估计。


一种是基于最大似然估计法 (ML) 或者拟最大似然估计法 (QML) , 一种是基于工具变量或者广义矩法 (IV/GMM) , 一种是基于贝叶斯马尔科夫链蒙特卡洛方法 (MCMC) 。



附件列表
640.webp (5).jpg

原图尺寸 15.27 KB

640.webp (5).jpg

640.webp (4).jpg

原图尺寸 19.46 KB

640.webp (4).jpg

640.webp (3).jpg

原图尺寸 17.01 KB

640.webp (3).jpg

640.webp (2).jpg

原图尺寸 16.36 KB

640.webp (2).jpg

640.webp (1).jpg

原图尺寸 18.25 KB

640.webp (1).jpg

640.webp.jpg

原图尺寸 18.9 KB

640.webp.jpg

二维码

扫码加我 拉你入群

请注明:姓名-公司-职位

以便审核进群资格,未注明则拒绝

栏目导航
热门文章
推荐文章

说点什么

分享

扫码加好友,拉您进群
各岗位、行业、专业交流群