经管之家App
让优质教育人人可得
立即打开
全部版块
我的主页
›
论坛
›
数据科学与人工智能
›
数据分析与数据科学
›
R语言论坛
关于arima+garch模型预测的问题
楼主
jdmnobitch
1329
1
收藏
2019-03-29
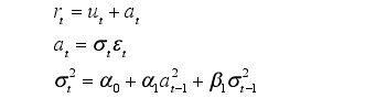
如图,均值方程和方差方程都已经拟合出来了,如何利用两个方程进行预测,差了很多资料,都是直接给出预测结果,我不太明白是如何计算的,是用预测得到的均值+预测的方差开根号?还是均值+开根号的方差乘以标准残差?请大师指点迷津。
扫码加我 拉你入群
请注明:姓名-公司-职位
以便审核进群资格,未注明则拒绝
全部回复
沙发
dospeace
2022-12-12 22:22:16
请问你解决了嘛?我现在也是卡在这里了,我模型得出来了,怎么算预测值不知道
扫码加我 拉你入群
请注明:姓名-公司-职位
以便审核进群资格,未注明则拒绝
相关推荐
成梦轩:新手炒黄金入门——如何利用形势做单盈利
如何利用工具发表SSCI以及选题开题
求助下列表格每一列如何计算
在不使用扩展包的情况下,如何进行二分类模型的查全率以及查准率的计算
Gimfch炒汇高手的逃生计划
利用图表在股市中获利
Gimfch炒汇高手的逃生计划
投资大师约翰•邓普顿熊市里写给投资者的两封信(下)
人工神经网络ANN预测
人工神经网络ANN预测
栏目导航
R语言论坛
马克思主义经济学
爱问频道
MATLAB等数学软件专版
金融学(理论版)
LISREL、AMOS等结构方程模型分析软件
热门文章
【重磅权威】2000-2024年上市公司人力资本流 ...
中国力量席卷全球- 绿色赋能地产先行 掀起全 ...
中国风能太阳能资源年景公报(2025年)
计算机行业:SpaceX,从“变革”中崛起的“ ...
几何(第五卷)[法] M. 贝尔热
求助英文文献一篇
《寻路集:在全球网络中寻找合适节点 》周其 ...
几何(第四卷)[法] M. 贝尔热
我该如何记住你?智能体记忆系统的演化之路
CDA数据分析脱产就业班于2026年3月7日开班! ...
推荐文章
2026JG学术冬训营:从Stata初高到Python机器 ...
【必看】【本版版规,欢迎发悬赏贴求助】
26年寒假天津站|Gemini论文写作&数据分析 ...
关于如何利用文献的若干建议
关于学术研究和论文发表的一些建议
关于科研中如何学习基础知识的一些建议 (一 ...
一个自编的经济学建模小案例 --写给授课本科 ...
AI智能体赋能教学改革: 全国AI教育教学应用 ...
2025中国AIoT产业全景图谱报告-406页
关于文献求助的一些建议
说点什么
分享
微信
QQ空间
QQ
微博
扫码加好友,拉您进群
各岗位、行业、专业交流群