全部版块 我的主页
论坛 休闲区 十二区 休闲灌水
618 1
2019-05-22

1、小数定律

女人的常见口头禅之一是:男人没一个好东西。

到了男人嘴里,常见的是:漂亮女人没有一个好东西。

之间的差别很微妙,我们放下不表。

《围城》里方鸿渐请鲍小姐吃西餐,结果超级难吃,两人吵起嘴来。

方鸿渐再接再厉地斗鸡,咬着牙说:“你不听我话,要吃西菜。”

“我要吃西菜,没叫你上这个倒霉馆子呀!做错了事,事后怪人,你们男人的脾气全这样!”鲍小姐说时,好像全世界每个男人的性格都经她试验过的。

小数定律是阿莫斯·特沃斯基和丹尼尔·卡尼曼在其研究中对“赌徒谬误”的总结。

小数定律是指:人们倾向于将从大样本中得到的结论错误地移植到小样本中。

比如人们知道掷硬币的概率是两面各50% ,于是在连续掷出5个正面之后,就倾向于判断下一次出现反面的概率较大。其实下一次出现反面的概率还是50%。

这一点已被大量的实验和证券市场上的错误预测所证实。

大多数人在判断不确定事件发生的概率时,往往会违背概率理论中的大数定律,而不由自主地使用“小数定律”,即滥用“典型事件”,忘记“基本概率”。

鲍小姐阅人无数,也许还不算使用“小数定律”。

但大多数妙龄男女们其实经验有限,通过个把案例,得出异性不可靠的结论,属于“赌徒谬误”行为。

2、大数定律

大数定律告诉我们,样本数量越多,则其算术平均值就有越高的概率接近期望值。

比如,我们向上抛一枚硬币,硬币落下后哪一面朝上是偶然的,但当我们上抛硬币的次数足够多后,达到上万次甚至几十万几百万次以后,我们就会发现,硬币每一面向上的次数约占总次数的二分之一,亦即偶然之中包含着必然。

根据大数定律,假如你想找一个百里挑一、万里挑一的人,你需要有足够的样本量。

要想摘到好桃花,你要多扔骰子。样本量不够,都是胡扯。

并不是说你要交几百个男朋友女朋友,其实你的生活圈子工作圈子已经帮你做过一些筛选了。

而且你也可以用“模拟”的方式来筛选潜在对象。

再有,这个世界是随机的,你以为的如意郎君,未必真的是;你最初鄙视的,没准儿挺适合过日子。谁知道呢?

你必须跳离牛顿力学的决定论,拥抱量子力学的不确定性。

总之,根据大数定律,想万里挑一,你要多交朋友,扩大交际圈,增加样本量,保持潜在对象的多样性与丰富度。

3、费米估算法

一个经典的费米问题的例子,是费米提出的“在芝加哥有多少钢琴调琴师”,用费米估算法,可以在信息极其有限的情况下算出非常接近的答案。

另外一个类似的公式叫德雷克公式,用来推测“可能与我们接触的银河系内外星球高智文明的数量”。

巴克斯在《我为什么没有女朋友》里使用了这个公式:

1、住在我附近的女性有多少?(伦敦:400万)

2、多少人有可能年龄上适合?(20%:80万)

3、多少人有可能是单身?(50%:40万)

4、多少人有可能拥有大学文凭?(26%:104000)

5、多少人有可能有魅力?(5%:5200)

6、多少人有可能觉得我有魅力?(5%:260)

7、多少人有可能和我合得来?(10%:26)

到最后,他愿意交往的女人,全世界只有26个。

看完了会不会对爱情绝望?

当然不要。问题在于对“筛网”的定义和估值,有些“筛网”必要吗?例如为什么要有大学文凭呢?

有些“筛孔”有必要那么小吗?例如把有魅力的异性比例定为5%,也就是20个里面挑一个,是不是太挑剔了。

还有,为什么非要女性呢?男的也可以呀,这样你周末约会的概率会翻番。--我是说你可以去跟着兄弟去混一下没准儿能遇见个伴娘什么的意思。

巴克斯这个家伙后来悄悄结婚了,所以千万别相信搞理论的人。

4、三门法则

这个法则是我提出的。

心灵开放度有8种。

其结构:外层是花园,中间客厅,里面卧室。

有人花园花枝招展欲醉人,但你压根难进大门;

有人一路开放到沙发,卧室则紧锁;

有人花园里养狗但不咬人,大门厚重但不上锁,卧室门还虚掩着,看似拒人千里,一旦进入犹如老房子着火。

开关×开关×开关,是为8种。

可每种最后都还有个保险柜。

我自己是个社交白痴,经常看不出别人脸色,听不懂话后的话。不过这段对人的“爱情三道门”的结构化剖析,不可谓不精彩。

有人问:为什么是8种呢?如下图(从下往上看):

640.webp (5).jpg

寥寥数语,绘出一个结构完美、逻辑缜密、精确量化的模型,并且重温了排列组合,为计算爱情概率奠定了基础。

  • 根据上面的“大数定律”,我们需要足够的样本量;

  • 根据上面的“费米估算法”,我们需要减少“筛网”和“筛孔”的限制。


美国有位美女,计划快速找到老公,她的做法就是放大“筛孔”,只要有约会机会,都不拒绝。当然不是花心的意思,而是喝杯咖啡什么的。

后来她发现,那些她过去认为压根儿没有约会可能的对象,给自己带来意外的惊喜。

没多久她就结婚了,老公是一个以前她想都没想过的类型。

啥意思呢?可能就是那种刚走到花园大门口,女人就想放狗出去咬的那种“男人”吧。

正确的做法是,锁紧自己的保险柜,看好卧室门,适当打开大门,热情敞开花园的门。

既不要见到异性就打开保险柜,也不要见人就放狗。

7、37%最优停止理论

这一条最时髦,但如果脱离了对“约会概率”和“对象评估”的理解,就只是一个数学游戏而已。

所以我把它放在原理篇的最后一个。

上面我们知道了要扩大潜在对象的基数,也大致明白了如何评估终生伴侣,那么“何时”以及“如何”做决策呢?

当你遇到一个有感觉的人时,有两个陷阱:

一是像没吃过糖的孩子,哭着喊着要海枯石烂真爱到永远;

二是不甘心,心想后面会不会还有更好的呢?

“科学”的做法是:

  • 年轻时多恋爱,拒绝把遇到的任何人当作人生伴侣,直到你熟悉恋爱市场的行情。

  • 这个阶段一旦过去,选择接下来出现的第一个比之前所遇都要好的人。


这个阶段的数值是多少呢?

“最优停止理论”给出了答案:37%。

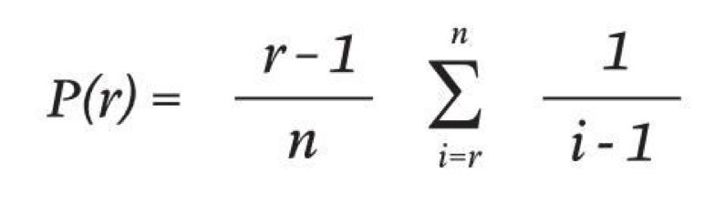
你停止找寻并和最佳人选安定下来的概率(用P代表),与潜在恋人(n)中被你拒绝的人数(r)是相关联的,公式如下:

640.jpg

比方说吧,如果你一生可能要有10段恋爱,那么找到“那个他”的最大概率发生在拒绝4个恋人之后(代表39.87%的恋爱经历)。

如果你可能谈20段恋爱,则要拒绝前8个人(那个对的人在38.42%处等你)。

现实中因为很难量化,而且人算不如天算,所以这个公式怎么样看你自己了。

在概率及博弈论上,该问题被称为秘书问题,类似的名称有相亲问题、止步问题、见好就收问题、苏丹的嫁妆问题、挑剔的求婚者问题等。

我觉得“见好就收”这个名字最贴切。

简而言之,姻缘的算法,本质上就是一个概率问题。


二维码

扫码加我 拉你入群

请注明:姓名-公司-职位

以便审核进群资格,未注明则拒绝

全部回复
2019-5-22 11:15:18

5、口厌感原理

可口可乐虽然不是什么健康饮料,但是它有一种很特别的特性:

几乎没有什么味觉残余。

或者说:“口厌感”很低。

这样你就可以天天喝,才能成为高频消费。

两人过日子,那可是超高频消费,几乎分分秒秒都在一起。

这时候,“口厌感”低,比“口感惊艳”重要得多。

那些让你惊艳的酒精饮料,或者某种浓郁果汁,第一次喝的时候简直爽上天,恨不得天天喝。

然而呢?能让你多喝的决定性元素,不是好喝的峰值有多高,而是味觉残余的峰值有多低。

当然最好还有点儿咖啡因这类轻微上瘾因素(酒精不算)。

6、“18个月”原理

生理学意义上的“爱情”只能维持18到30个月。

美国康奈尔大学教授哈赞指出:

“研究显示,爱情是大脑中的一种’化学鸡尾酒’激发出来的,这些化学物质是多巴胺、苯乙胺……。

但时间久了,即使是最容易对异性产生冲动情绪的人也会对这三种化学物质产生抗体,两年以后,它们的作用便失效了。

超过这段时间,男女双方要么分手,要么心平气和地一起过日子,爱情成为习惯,特别是有了孩子以后。即使双方想生更多孩子,这三种化学物质也不再起作用了。”

哈赞的结论来自一个基于5000对夫妻样本的实验。她认为,18到30个月这段时间足够男女二人认识、约会、结合、生子。在此之后,一般就不易出现看到对方便心跳加速、手心出汗的情况了(除了想打对方)。

所以,前18个月靠鸡尾酒来“热启动”,此后要切换到“口厌感”频道,好好过日子。
二维码

扫码加我 拉你入群

请注明:姓名-公司-职位

以便审核进群资格,未注明则拒绝

栏目导航
热门文章
推荐文章

说点什么

分享

扫码加好友,拉您进群
各岗位、行业、专业交流群