全部版块 我的主页
论坛 数据科学与人工智能 数据分析与数据科学 R语言论坛
999 0
2019-06-03
悬赏 20 个论坛币 未解决
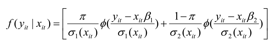
各位大大,小弟以前习惯用stata编程,现在改用R,所以很多不太熟悉,特此请教各位,在如下一个finite mixture model 当中,是两个OLS混合而来的,所以有如下的概率密度函数:
图片1.png


在stata中,可以如下书写:
----------------------- copy starting from the next line -----------------------
复制代码

------------------ copy up to and including the previous line ------------------

求助各位大大怎么把这段函数转成 R 里面的一个function,不胜感激
二维码

扫码加我 拉你入群

请注明:姓名-公司-职位

以便审核进群资格,未注明则拒绝

相关推荐
栏目导航
热门文章
推荐文章

说点什么

分享

扫码加好友,拉您进群
各岗位、行业、专业交流群