全部版块 我的主页
论坛 提问 悬赏 求职 新闻 读书 功能一区 经管百科 爱问频道
10424 12
2019-06-09
面板数据ols回归结果很好系数显著,进行空间计量模型回归时变量系数不显著,空间系数也是不显著,可是在进行空间自相关性检验的时候莫兰指数p值很好(莫兰数据在另一个帖子https://bbs.pinggu.org/forum.php? ... ;page=1#pid59788493,到了进行空间计量回归的时候效果就不好。之前觉得是共线性也逐步回归删除过变量,哪怕只有几个变量还是系数不显著。用的是经济社会权重矩阵。矩阵无论标准化与否,结果还是不显著。矩阵换了地理距离矩阵也是不显著。标准化的命令是spatwmat using var.dta, n(w)standardize虽说是截面数据的标准化命令但是有人说也是可以用到xsmle的   (https://www.zhihu.com/question/61957966/answer/216677350)   而且我试过也是可以进行空间计量回归的。哪位大神觉得不对,麻烦把正确的面板权重矩阵标准化命令放上来,谢谢了
看到另外一个帖子的,试了一下不行,不知s*是什么意思
use Wxin.dta, clear

spmat dta Wxin s*,normalize(row)

Help spmat  dta后给出的命令是

spmat dta objname varlist [if] [in] [, options]


options               Description

id(varname)           variablecontaining unique IDs

idistance             convertdistance data to inverse distances

normalize(norm)      normalization method

replace               replace objname  试过也不行。

求哪位大神帮看看,好不容易弄到回归了却不显著万分无奈,现在就差换变量,增加数据这条路没走了。其他方法基本都试过了。下面是ols结果,sar和sdm结果 不知道为何有如此大的悬殊,大神能看出问题来吗。 命令为:
1.reg chzs ldrk rlzb cywh cyjgcfsp hlw fmzl czzc czsr wztzze csfj jyzc kxjszc you zhong yao xfsp rks schzs 1.png
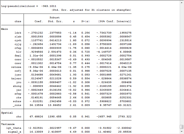
2.xsmle  chzs ldrk rlzb cywh cyjg cfsp hlw fmzl czzcczsr wztzze csfj jyzc kxjszc you zhong yao xfsp rks schzs,wmat(w) model(sar)robust nolog 2.png
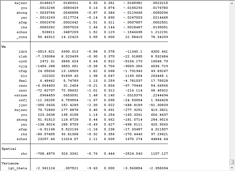
3.xsmle  chzs ldrk rlzb cywh cyjg cfsp hlw fmzl czzcczsr wztzze csfj jyzc kxjszc you zhong yao xfsp rks schzs,wmat(w) model(sdm)robust nolog 3.png 4.png

二维码

扫码加我 拉你入群

请注明:姓名-公司-职位

以便审核进群资格,未注明则拒绝

全部回复
2019-6-23 13:55:11
系数不显著我已经解决,因为操作失误。其次面板数据的矩阵行标准化我也解决了。具体参照https://bbs.pinggu.org/forum.php? ... =4864367&page=1
use "E:\stata\mywork\c.dta", clear,调入一个截面权重
spmat dta WW var*, normalize(row) replace,行标准化
spmat save WW using WW.spmat,replace,保存为面板权重
use "E:\stata\mywork\2000-2012.dta", clear,调入面板数据
spmat use WWW using "WW.spmat",使用权重作为空间面板用
二维码

扫码加我 拉你入群

请注明:姓名-公司-职位

以便审核进群资格,未注明则拒绝

2019-6-23 16:10:56
去掉robust试试
二维码

扫码加我 拉你入群

请注明:姓名-公司-职位

以便审核进群资格,未注明则拒绝

2019-6-23 16:30:16
谁zhu沉浮 发表于 2019-6-23 16:10
去掉robust试试
谢谢你的回复,我的问题已经解决了,不是这个原因
二维码

扫码加我 拉你入群

请注明:姓名-公司-职位

以便审核进群资格,未注明则拒绝

2019-7-8 23:29:15
怎么解决的,我的结果也是这样,特别不显著
二维码

扫码加我 拉你入群

请注明:姓名-公司-职位

以便审核进群资格,未注明则拒绝

2019-7-9 11:43:26
碎辰 发表于 2019-7-8 23:29
怎么解决的,我的结果也是这样,特别不显著
除了多重共线性的问题(可去搜解决办法),还有就是本身数据不好,变量的数据对她影响不显著,建议换变量。我是吧研究的核心变量改了,不研究那个了
二维码

扫码加我 拉你入群

请注明:姓名-公司-职位

以便审核进群资格,未注明则拒绝

点击查看更多内容…
栏目导航
热门文章
推荐文章

说点什么

分享

扫码加好友,拉您进群
各岗位、行业、专业交流群