经管之家App
让优质教育人人可得
立即打开
全部版块
我的主页
›
论坛
›
经济学论坛 三区
›
微观经济学
›
经济金融数学专区
关于DSGE模型中家庭部分的一阶求导
楼主
aspire-5500
1531
0
收藏
2019-06-11
在一篇DSGE模型的论文中,家庭的预算约束等式为:
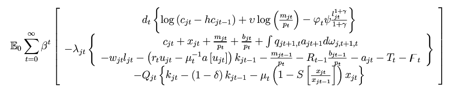
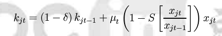
最终构建的拉格朗日乘子为:
对Cjt,bjt,ujt, kjt,xjt,wjt,ljt和ajt+1 的一阶求导可得:
求教各位一阶求导后的最后一个等式中(xjt+1/xjt)^2是怎么样求导而来的呢?感谢。
扫码加我 拉你入群
请注明:姓名-公司-职位
以便审核进群资格,未注明则拒绝
相关推荐
非线性DSGE模型二阶近似下的福利
有没有关于中国的DSGE模型所需要的参数
DSGE模型的介绍
学DSGE模型问题究竟在哪里
关于汇率的传递效应与DSGE模型
DSGE模型新手求指导!急!可有偿。
做DSGE模型的话,目前需要手算到哪一步?求大神解答!
如何理解DSGE模型
论文里可以引用DSGE模型的公式吗?
dsge模型求教
栏目导航
经济金融数学专区
休闲灌水
stata专版
行业分析报告
经管文库
文献求助专区
热门文章
CDA数据分析脱产就业班在2026年3月7日开班了 ...
好书分享-《理解信念与人工智能》
经济政策不确定性冲击下全球系统性金融风险 ...
亚洲股票市场的风险溢出效应——基于动态金 ...
当Stata遇上 AI 智能体:你的实证研究,正在 ...
从数据仓库到智能取数:CDA数据分析师视角下 ...
CDA 认证考试大纲 2025 重磅更新:一二级考 ...
相对于Harness这个词,我更钟情控制论:从控 ...
A Practical Guide to Logistic Regression ...
GraphPad Prism 多因素方差分析
推荐文章
【文献求助专区】版主工作备用贴
五一充电,学术突围!四大AI赋能王牌课程, ...
关于学术研究和论文发表的一些建议
几种免费下载文献的方法----我的文献应助经
【必看】【本版版规,欢迎发悬赏贴求助】
【新课】26年3月|Gemini辅助论文写作与数据 ...
关于如何利用文献的若干建议
关于科研中如何学习基础知识的一些建议 (一 ...
一个自编的经济学建模小案例 --写给授课本科 ...
AI智能体赋能教学改革: 全国AI教育教学应用 ...
说点什么
分享
微信
QQ空间
QQ
微博
扫码加好友,拉您进群
各岗位、行业、专业交流群