全部版块 我的主页
论坛 数据科学与人工智能 数据分析与数据科学 R语言论坛
783 2
2019-07-03
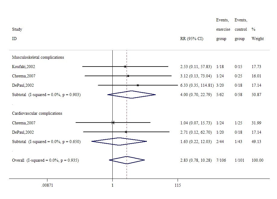
本来做的图是第一张,但是要求我加入每一组的人数,类似于第二张图,请教下大家怎么在空白处加入数据。
netmeta-ESI-Hep.jpg Fig6.jpg

二维码

扫码加我 拉你入群

请注明:姓名-公司-职位

以便审核进群资格,未注明则拒绝

全部回复
2019-7-5 09:05:39
你这没有把图传上来啊
二维码

扫码加我 拉你入群

请注明:姓名-公司-职位

以便审核进群资格,未注明则拒绝

2019-7-5 13:09:04
觅寄忧谷 发表于 2019-7-5 09:05
你这没有把图传上来啊
我电脑上可以看到。手机登录看不到。不知道为啥。
二维码

扫码加我 拉你入群

请注明:姓名-公司-职位

以便审核进群资格,未注明则拒绝

相关推荐
栏目导航
热门文章
推荐文章

说点什么

分享

扫码加好友,拉您进群
各岗位、行业、专业交流群