全部版块 我的主页
论坛 经济学论坛 三区 微观经济学 经济金融数学专区
2019-8-4 12:06:50
安徽师范大学2019年601-数学分析
afsf3.png




二维码

扫码加我 拉你入群

请注明:姓名-公司-职位

以便审核进群资格,未注明则拒绝

2019-8-4 12:07:09
安徽师范大学2019年601-数学分析
afsf4.png

证明:
                           $\because \forall p \in \mathbb{N},\forall \varepsilon > 0,\exists N=[\frac{p}{\varepsilon }],n> N,s.t.$

                           $|a_{n+p}-a_n|=|\frac{1}{n+1}+\frac{1}{n+2}+\cdots +\frac{1}{n+p}-\ln(n+p)+\ln n|< \frac{p}{n+1}< \varepsilon .$

               是柯西基本列,数列收敛。




二维码

扫码加我 拉你入群

请注明:姓名-公司-职位

以便审核进群资格,未注明则拒绝

2019-8-4 12:07:26
安徽师范大学2019年601-数学分析
afsf5.png

解:令:
                      $x_1=\sqrt[3]{x^2-\sqrt{1+x^4}},x_2=\sqrt[3]{x^2+\sqrt{1+x^4}},$

         则
                       $y=x_1+x_2,$

                       $\therefore \begin{cases}
x_1^3+x_2^3 &=2x^2, \\
x_1x_2&=-1 .
\end{cases}$

             由此,
                       $\Rightarrow 2x^2=x_1^3+x_2^3=(x_1+x_2)(x_1^2-x_1x_2+x_2^2)=y(y^2-3),$

           改写成$y(x)$形式,并注意到$x>0$

                         $\therefore y=\sqrt{\frac{1}{2}x(x^2-3)}.$



此题由网友提供解题思路。




二维码

扫码加我 拉你入群

请注明:姓名-公司-职位

以便审核进群资格,未注明则拒绝

2019-8-4 12:07:44
安徽师范大学2019年601-数学分析
afsf6.png

解:
         当$a$为不等于零的有限数时:

            $\displaystyle \lim_{x\to a}\frac{(a+x)^x-a^x}{x^2}=\frac{(2a)^a-a^a}{a^2}=(2^a-1)a^{a-2}.$



           这个题可能错了。如果$x\to a$这个解法没有问题。如果是$x\to 0$则

          下面是正确解:

             1.png






二维码

扫码加我 拉你入群

请注明:姓名-公司-职位

以便审核进群资格,未注明则拒绝

2019-8-4 12:08:48
安徽师范大学2019年601-数学分析
afsf7.png

证明:
                  $\because f(x)=\lim_{n \to \infty }\sqrt[n]{1+x^{2n}}\leq (1+x)^2,$

                   $\therefore \forall x_1,x_2,\forall \varepsilon > 0,\exists \delta > 0,|x_1-x_2|< \delta ,s.t.$

                   $|f(x_1)-f(x_2)|\leq |(1+x_1)^2-(1+x_2)^2|=(x_1+x_2+2)|x_1-x_2|< \varepsilon .$

          因此,由柯西定理,$f(x)$一致收敛。





二维码

扫码加我 拉你入群

请注明:姓名-公司-职位

以便审核进群资格,未注明则拒绝

2019-8-4 12:09:08
安徽师范大学2019年601-数学分析
afsf8.png
解:此题很巧妙,下面是网友提供有一个解法,贴下此:
QQ图片20190812210742.jpg






二维码

扫码加我 拉你入群

请注明:姓名-公司-职位

以便审核进群资格,未注明则拒绝

2019-8-4 12:09:28
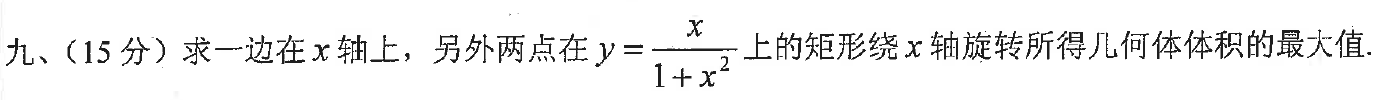
安徽师范大学2019年601-数学分析
afsf9.png

解:
                           $\because y=\frac{x}{1+x^2},\therefore y(-x)=y(x)$

             由此可知函数图象关于一、三象限对称。

                           $x> 0,y'=\frac{1-2x}{(1+x^2)^2}=0,\rightarrow x=\frac{1}{2}.$
            
              显然,在$x=\frac{1}{2}$点,函数取得最大值,另一点一定为$x=-\frac{1}{2}$.
                  
             而最大旋转体积为

                              $\begin{align*}V&=2\pi\int_{0}^{1/2}y^2dx=2\pi\int_{0}^{1/2}(\frac{x}{1+x^2})^2dx\\\\&=2\pi\int_{0}^{1/2}(\frac{1}{1+x^2}-\frac{1}{(1+x^2)^2})dx\\\\&=2\pi\arctan x|_0^\frac{1}{2}-2\pi\int_{0}^{1/2}\frac{x}{x(1+x^2)^2}dx\\\\&=2\pi\arctan \frac{1}{2}+\pi\frac{1}{x(1+x^2)}|_0^\frac{1}{2}-\pi\int_{0}^{1/2}\frac{1}{x^2(1+x^2)}dx\\\\&=\frac{18}{5}\pi+3\pi\arctan \frac{1}{2}.
\end{align*}$


二维码

扫码加我 拉你入群

请注明:姓名-公司-职位

以便审核进群资格,未注明则拒绝

2019-8-4 12:09:48
安徽师范大学2019年601-数学分析
afsf10.png


解:由取整函数的定义可知:

                             $0\leq \frac{1}{x}-[\frac{1}{x}]< 1,$

      因此在$[0,1]$上的积分为:

                          $\displaystyle \int_{0}^{1}f(x)=\lim_{\varepsilon \to 0}\int_{0}^{\varepsilon }0dx+\lim_{\varepsilon \to 0}\int_{\varepsilon }^{1}(\frac{1}{x}-[\frac{1}{x}])dx< \lim_{\varepsilon \to 0}\int_{\varepsilon }^{1}dx=1.$

         收敛,可积。


这个解答不完全。应考虑函数在$[0,1]$内间断点:$1/2,1/3,1/4,.....,1/n,....$。参考“吉米多维奇习题集"1296题。
二维码

扫码加我 拉你入群

请注明:姓名-公司-职位

以便审核进群资格,未注明则拒绝

2019-8-4 12:10:06
安徽师范大学2019年601-数学分析
afsf11.png
解:
                              $\because \frac{1}{\ln(n!)}=\frac{1}{\ln1+\ln2+\cdots +\ln n}> \frac{1}{n\ln n},$

                而级数
                               $\displaystyle \sum_{n=2}^{\infty }\frac{1}{n\ln n}$

                   发散。由比较判别法可知,原级数

                                 $\displaystyle \sum_{n=2}^{\infty }\frac{1}{\ln(n!)}$

                   亦发散。






二维码

扫码加我 拉你入群

请注明:姓名-公司-职位

以便审核进群资格,未注明则拒绝

2019-8-4 12:10:24
安徽师范大学2019年601-数学分析
afsf12.png

解:闭合光滑曲面,用高斯公式计算:

                                              $\begin{align*}I&=\int \oint_\Sigma x^3dydz+y^3dzdx+z^3dxdy\\\\&=\iiint_\Omega (x^2+y^2+z^2)dV\\\\&=\int_{0}^{2\pi}d\varphi \int_{0}^{\pi}\sin\theta d\theta \int_{0}^{1}r^4dr\\\\&=\frac{4}{5}\pi.
\end{align*}$






二维码

扫码加我 拉你入群

请注明:姓名-公司-职位

以便审核进群资格,未注明则拒绝

2019-8-14 08:00:42
中南大学2018年数学分析试题
zn2018-1.png

解:

                $\displaystyle \lim_{x\to 0}\frac{f(\sin^2x+\cos x)}{x^2+x\tan x}=\lim_{x\to 0}\frac{2\sin x\cos xf'(\sin^2x+\cos x)}{2x+\tan x+x\sec^2x}=\frac{1}{2}.$



二维码

扫码加我 拉你入群

请注明:姓名-公司-职位

以便审核进群资格,未注明则拒绝

2019-8-14 08:01:35
中南大学2018年数学分析试题
zn2018-2.png


基本计算,利用柱面坐标。

二维码

扫码加我 拉你入群

请注明:姓名-公司-职位

以便审核进群资格,未注明则拒绝

2019-8-14 08:02:29
中南大学2018年数学分析试题
zn2018-3.png

解:先进行变形:
                                  $\displaystyle \sum_{n=1}^{\infty }\frac{2n-2}{2^n}x^{2n-1}=\frac{1}{x^2}\sum_{n=1}^{\infty }\frac{2n-1}{2^n}x^{2n},$

                                  $\displaystyle |R|=|\frac{\frac{2n-1}{2^n}}{\frac{2n+1}{2^{n+1}}}|=2,$

              因为当
                                  $x=\pm \sqrt{2},$

               时,原级数发散,所以原级数的收敛半径为

                                  $-\sqrt{2}< x < \sqrt{2},$

                  收敛域为:
                                   $(-\sqrt{2},\sqrt{2}).$


二维码

扫码加我 拉你入群

请注明:姓名-公司-职位

以便审核进群资格,未注明则拒绝

2019-8-14 08:03:12
中南大学2018年数学分析试题
zn2018-4.png
解:将$x$作为参数,则有交线的参数方程:

                                                        $\begin{cases}
z &=\sqrt{1-2x^2}, \\
y &= x.
\end{cases}$

                                                       $0\leq x\leq \frac{\sqrt{2}}{2},$

                               被积函数化为
                                                       $\sqrt{2y^2+z^2}=1,$

                                                       $ds=\sqrt{1+1+\frac{4x^2}{1-2x^2}}dx=\frac{\sqrt{2}}{\sqrt{1-2x^2}}dx,$

                             曲线积分
                                              $\therefore \int_\Gamma \sqrt{2y^2+z^2}ds=\int_0^{\frac{\sqrt{2}}{2}} \frac{\sqrt{2}}{\sqrt{1-2x^2}}dx=\frac{\pi}{4}.$



二维码

扫码加我 拉你入群

请注明:姓名-公司-职位

以便审核进群资格,未注明则拒绝

2019-8-14 08:03:37
中南大学2018年数学分析试题
zn2018-5.png

解:
            由已知
                                   $\displaystyle \because \lim_{x\to 0}\frac{f(x)}{x}=1,\therefore f(0)=0,$

                                   $\because g(x)=\frac{1}{x}\int_{0}^{x}f(y)dy,(tx=y)$

                                    $\displaystyle \therefore g(0)=\lim_{x\to 0}\frac{1}{x}\int_{0}^{x}f(y)dy=f(0)=0,$

                  求导函数
                                   $g'(x)=-\frac{1}{x^2}\int_{0}^{x}f(y)dy+\frac{f(x)}{x},$

                 导函数在$x=0$点的值
                                    $\displaystyle g'(0)=\lim_{x\to 0}g'(x)=-\lim_{x\to 0}\frac{f(x)}{2x}+\lim_{x\to 0}\frac{f(x)}{x}=-\frac{1}{2}+1=\frac{1}{2},$

                而由定义,函数在$x=0$的导数为
         
                                     $\displaystyle g'(0)=\lim_{x\to 0}\frac{g(x)-g(0)}{x-0}=\lim_{x\to 0}\frac{\frac{1}{x}\int_{0}^{x}f(y)dy}{x}=\frac{1}{2}.$
           
                  由此,两者相等,故$g'(x)$在$x=0$连续。


二维码

扫码加我 拉你入群

请注明:姓名-公司-职位

以便审核进群资格,未注明则拒绝

2019-8-14 08:04:22
中南大学2018年数学分析试题
zn2018-6.png

证明:
                     由已知条件:
                                       $f''(x)> 0,\displaystyle \lim_{x\to+\infty }f'(x)=\alpha > 0,\displaystyle \lim_{x\to-\infty }f'(x)=\beta < 0,$

                        由函数导数的性质,有
                                                        $f(+\infty ),f(-\infty )> 0.$

                           且函数$f(x)$为下凸的,因为$f(x)$单调,故必有一个极小值,令为$f(\xi)$.

                          因为$\exists x_0,f(x_0)< 0,$同样由单调性知必有

                                                         $f(\xi)\leq f(x_0)< 0.$

                         在其两侧$(-\infty ,\xi ],[\xi,+\infty )$内,由Rolle定理,知各有一个根,且函数值单调递增的,其与$x$轴只有两交点,

                而此两个交点即为方程$f(x)=0$的两个解。




二维码

扫码加我 拉你入群

请注明:姓名-公司-职位

以便审核进群资格,未注明则拒绝

2019-8-14 08:04:59
中南大学2018年数学分析试题
zn2018-7.png

解:  由已知,有

                                $\frac{\partial g}{\partial t}|_{t=0}=\cos \alpha f'_1+\sin \alpha f'_2=0,$

                                 $\frac{\partial^2 g}{\partial t^2}=\cos^2\alpha f''_{11}+2\cos \alpha\sin \alpha f''_{12}+\sin^2\alpha f''_{22}> 0.$







二维码

扫码加我 拉你入群

请注明:姓名-公司-职位

以便审核进群资格,未注明则拒绝

2019-8-14 08:06:05
中南大学2018年数学分析试题
zn2018-8.png

证明:
                 由已知,$f(x)$在$[0,+\infty)$上一致连续,故有

                                         $x,x_1\in [0,1],\forall n,n_1\in\mathbb{N},\forall \varepsilon > 0,\exists \delta ,|x+n-(x_1+n_1)|< \delta ,s.t.$

                                          $|f(x+n)-f(x_1+n_1)|< \frac{\varepsilon }{2},$

                 又因为对任意$x_1$,有
                                          
                                          $\displaystyle \lim_{n_1 \to +\infty} f(x+n_1)=0,$

                        故有
                                          $\forall \varepsilon > 0,\exists N,n_1> N,s.t.$

                                          $|f(x_1+n_1)|< \frac{\varepsilon }{2},$

                                    $\therefore \forall \varepsilon > 0,\exists N,\exists \delta ,n,n_1> N,|x+n-(x_1+n_1)|< \delta ,s.t.$

                                           $|f(x+n)-0|\leq |f(x+n)-f(x_1+n_1)|+|f(x_1+n_1)|< \frac{\varepsilon }{2}+\frac{\varepsilon }{2}=\varepsilon .$




二维码

扫码加我 拉你入群

请注明:姓名-公司-职位

以便审核进群资格,未注明则拒绝

2019-8-14 08:06:57
中南大学2018年数学分析试题
zn2018-9-1.png
zn2018-9-2.png
解:1、
                                    $\begin{align*}\because f(x)&=\frac{1}{1-x-x^2}\\\\&=\frac{1}{\frac{3}{4}-(\frac{1}{2}+x)^2}\\\\&=\frac{2}{\sqrt{3}}(\frac{1}{\frac{\sqrt{3}}{2}-\frac{1}{2}-x}+\frac{1}{\frac{\sqrt{3}}{2}+\frac{1}{2}+x}),
\end{align*}$
            
              又
                               $\because (\frac{1}{ax+b})^{(n)}=\frac{(-1)^na^nn!}{(ax+b)^{n+1}},$

                                $\therefore f^{(n)}(x)=\frac{2}{\sqrt{3}}(\frac{(\frac{\sqrt{3}-1}{2})^nn!}{(\frac{\sqrt{3}-1}{2}-x)^{n+1}}+\frac{(-1)^n(\frac{\sqrt{3}+1}{2})^nn!}{(\frac{\sqrt{3}+1}{2}+x)^{n+1}}),$

           所以
                              $\Rightarrow f^{(n)}(0)=\frac{2}{\sqrt{3}}(\frac{\sqrt{3}-1}{2})^{n-1}n!+(-1)^n\frac{2}{\sqrt{3}}(\frac{\sqrt{3}+1}{2})^{n-1}n!.$
                              
    2、
                           $a_n=\frac{n!}{f^{(n)}(0)}=\frac{1}{\frac{2}{\sqrt{3}}(\frac{\sqrt{3}-1}{2})^{n-1}+(-1)^n\frac{2}{\sqrt{3}}(\frac{\sqrt{3}+1}{2})^{n-1}},$            

                           $\sqrt[n]{a_n}=\sqrt[n]{\frac{1}{\frac{2}{\sqrt{3}}(\frac{\sqrt{3}-1}{2})^{n-1}+(-1)^n\frac{2}{\sqrt{3}}(\frac{\sqrt{3}+1}{2})^{n-1}}}<\sqrt[n]{\frac{1}{(\frac{\sqrt{3}-1}{2})^{n-1}+(-1)^n(\frac{\sqrt{3}+1}{2})^{n-1}}}< \sqrt[n]{\frac{1}{(\frac{\sqrt{3}-1}{2})^{n-1}}}=1.$

                    因此,级数收敛。

---------------------------------------------------                     
也可以如此解:

1、
                                 $(1-x-x^2)f(x)=1,f(0)=1,$   

                                  $(1+2x)f(x)+(x^2+x-1)f'(x)=0,f'(0)=1,$

          运用莱卜尼兹求微分公式,再令$x=0$,有

                                  $f^{(n)}(0)=nf^{(n-1)}(0)+n(n-1)f^{(n-2)}(0),$

         

         



二维码

扫码加我 拉你入群

请注明:姓名-公司-职位

以便审核进群资格,未注明则拒绝

2019-8-14 08:07:23
中南大学2018年数学分析试题
zn2018-10.png

解:
          1、由已知条件,可知,当被积函数一定满足全微分条件:

                                             $\frac{\partial Q}{\partial x}=\frac{\partial P}{\partial y},$

                      因为$C$不包含原点,故积分区域$C$内无奇点。用格林公式:

                                       $\therefore \oint_CPdx+Qdy=\iint_D(\frac{\partial Q}{\partial x}-\frac{\partial P}{\partial y})dxdy=\iint_D0dxdy=0.$


        2、由于
                                        $\frac{\partial Q}{\partial x}=\frac{\partial P}{\partial y},$

                     所以有关于$x$的一阶微分方程。$y$可看作常数。

        3、作一个包围原点的单位曲线$D_r$,在$C$所包围的区域中将原点挖去,则:

                                      $\oint_CPdx+Qdy=\iint_{D-D_r}(\frac{\partial Q}{\partial x}-\frac{\partial P}{\partial y})dxdy+\oint_{D_r}\frac{2xydx+\varphi (x)dy}{x^4+y^2}=\iint_{D-D_{r}}0dxdy+\oint_{D_r}\frac{2xydx+\varphi (x)dy}{x^4+y^2},$

                                      $\because \frac{\partial Q}{\partial x}=\frac{\partial P}{\partial y},\Rightarrow \varphi (x)=x^2,$

                                      $D_r:x^4+y^2=1,$

                    令:
                                      $x^2=\cos\theta , y=\sin\theta , \theta \in[0,\pi/2] ,$

                                      $\therefore \oint_CPdx+Qdy=\int_{0}^{\pi/2}(-\sin ^2\theta +\cos ^2\theta )d\theta =\int_{0}^{\pi/2}(1-\cos 2\theta )d\theta =\frac{\pi}{2}+1.$




                                          
二维码

扫码加我 拉你入群

请注明:姓名-公司-职位

以便审核进群资格,未注明则拒绝

2019-8-14 08:07:46
中南大学2018年数学分析试题
zn2018-11.png

解:曲线绕$y$轴旋转后所得曲面求法,将曲线方程中$y$因定,$x$用$\pm \sqrt{x^2+z^2}$来代替,即得:

                                   $(\sqrt{x^2+z^2})^2+3y^2=1,$

                     即,旋转后所得曲面方程为:

                                   $x^2+3y^2+z^2=1,$

                    过该曲面上一点$P(x_0,y_0,z_0),$的切平面方程为:

                                   $x_0x+3y_0y+z_0z=1.$

1、
                                   $\rho (x,y,z)=\frac{|-1|}{\sqrt{x^2+(3y)^2+z^2}},$

                                   $dS=\sqrt{\frac{x^2}{1-x^2-3y^2}+\frac{(3y)^2}{1-x^2-3y^2}+1}=\sqrt{\frac{1+6y^2}{1-x^2-3y^2}},$

                             $\therefore I=\iint_S\frac{z}{\rho (x,y,z)}dS=\iint_\Sigma \sqrt{1-x^2-3y^2}\sqrt{x^2+(3y)^2+z^2}\sqrt{\frac{1+6y^2}{1-x^2-3y^2}}dxdy=\iint_\Sigma (1+6y^2)dxdy,$

                     用广义球面坐标变换
                                  $x=r\cos\theta ,y=\frac{1}{\sqrt{3}}r\sin\theta ,0\leq r\leq 1,0\leq \theta \leq 2\pi.|J|=\frac{1}{\sqrt{3}}r.$
                                 
                                 $I=\int_{0}^{2\pi}d\theta \int_{0}^{1}(1+6\cdot \frac{1}{3}r^2\sin^2\theta )\frac{1}{\sqrt{3}}rdr=\frac{5\sqrt{3}}{9}\pi.$

2、
                                  $I=\iint_Sz(x\cos \alpha +y\cos \beta +z\cos \gamma )dS=\iint_Szxdydz+zydzdx+z^2dxdy,$

                再利用高斯公式,有
                              
                                   $I=4\iiint_\Omega zdxdydz.$

                    因为是奇函数,故
                     
                                   $I=0.$



二维码

扫码加我 拉你入群

请注明:姓名-公司-职位

以便审核进群资格,未注明则拒绝

2019-8-19 19:25:23
晕,《中南大学2018年数学分析试题》好怪,仿佛掉坑里了。


电子科技大学2019年数学分析考研试题
dz1.png





二维码

扫码加我 拉你入群

请注明:姓名-公司-职位

以便审核进群资格,未注明则拒绝

2019-8-21 20:51:25
电子科技大学2019年数学分析考研试题
dz1.png
解:
        1、利用Stolz公式:
                                  $\displaystyle \lim_{n \to \infty }\frac{1!+2!+\cdots +n!}{n!}=\lim_{n \to \infty }\frac{n!}{n!-(n-1)!}=\lim_{n \to \infty }\frac{n}{n-1}=1.$


         2、
                                 $\because x'=1+q\cos xx',$

                                  $\therefore x'=\frac{1}{1-q\cos x}.$

           3、因为$f(x)$连续,所以被积函数连续,因此在有限积分区间上可进行积分与极限交换顺序。

                                 $\displaystyle \lim_{h\to 0}\int_{a}^{b}\frac{f(x+h)-f(x)}{h}dx=\int_{a}^{b}\lim_{h\to 0}\frac{f(x+h)-f(x)}{h}dx=\int_{a}^{b}f'(x)dx=f(b)-f(a).$





二维码

扫码加我 拉你入群

请注明:姓名-公司-职位

以便审核进群资格,未注明则拒绝

2019-8-21 20:52:11
电子科技大学2019年数学分析考研试题
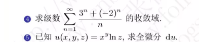
dz2.png

解:
       1、
                      $\because |R|=|\frac{\frac{3^n+(-2)^n}{n}}{\frac{3^{n+1}+(-2)^{n+1}}{n+1}}|=\frac{1}{3}.$

                      $\therefore -\frac{1}{3}\leq R\leq \frac{1}{3}.$

      2、
                      $du=\frac{\partial u}{\partial x}dx+\frac{\partial u}{\partial y}dy+\frac{\partial u}{\partial z}dz=yx^{y-1}\ln zdx+x^y\ln x\ln zdy+\frac{x^{y}}{z}dz.$







二维码

扫码加我 拉你入群

请注明:姓名-公司-职位

以便审核进群资格,未注明则拒绝

2019-8-21 20:52:47
电子科技大学2019年数学分析考研试题
dz3.png

解:
          1、
                 $\displaystyle \lim_{x\to 0}\frac{\cos (\sin x)-\cos x}{x^4}=\lim_{x\to 0}\frac{-\cos x\sin (\sin x)+\sin x}{4x^3}=\lim_{x\to 0}\frac{-(1-\frac{1}{2}x^2)x+x-\frac{1}{6}x^3}{4x^3}=\frac{1}{6}.$


          2、
                   $I=\int_{0}^{\pi/2}e^x\cos ^2xdx=e^x\cos ^2x|_0^{\pi/2}+\int_{0}^{\pi/2}e^x\sin 2xdx=1-2\int_{0}^{\pi/2}e^x(2\cos^2x-1)dx,$

                   $\therefore I=\frac{1}{5}(2e^x-1).$



二维码

扫码加我 拉你入群

请注明:姓名-公司-职位

以便审核进群资格,未注明则拒绝

2019-8-21 20:53:18
电子科技大学2019年数学分析考研试题
dz4.png






二维码

扫码加我 拉你入群

请注明:姓名-公司-职位

以便审核进群资格,未注明则拒绝

2019-8-21 20:53:56
电子科技大学2019年数学分析考研试题
dz5.png



解:利用高斯公式计算:

                                  $\begin{align*}
I&=\iint_S\sin \sqrt{y^2+z^2}dydz+\sin \sqrt{z^2+x^2}dzdx+\sin \sqrt{x^2+y^2}dxdy\\\\
&=\int \oint_{S+z=h}0dxdydz+\iint_{z=h}\sin hdxdy\\\\
&=\pi h^2\sin h.
\end{align*}$




二维码

扫码加我 拉你入群

请注明:姓名-公司-职位

以便审核进群资格,未注明则拒绝

2019-8-21 20:54:32
电子科技大学2019年数学分析考研试题
dz6.png
证明:
                      $\begin{align*}\because|x_{n+1}-x_n|&=q|\sin x_n-\sin x_{n-1}|\\\\&=q|\cos \xi||x_n-x_{n-1}|\\\\&\leq q|x_n-x_{n-1}|\\\\&\leq \cdots \\\\&\leq q^n|x_1-x_0|,
\end{align*}$

                      $\therefore \sum (x_{n+1}-x_n)$收敛。

                  因此,$\displaystyle \lim_{n \to \infty }x_n$存在。





二维码

扫码加我 拉你入群

请注明:姓名-公司-职位

以便审核进群资格,未注明则拒绝

2019-8-21 20:55:15
电子科技大学2019年数学分析考研试题
dz7.png

证明:由泰勒公式

                                  $\because f(1)=f(x)+f'(x)(1-x)+\frac{1}{2}f''(\xi )(1-x)^2,\xi\in(0,1)$

                                  $f(0)=f(x)+f'(x)(-x)+\frac{1}{2}f''(\eta )(-x)^2,\eta\in(0,1)$

                                  $\therefore f(1)-f(0)=f'(x)+\frac{1}{2}f''(\xi )(1-x)^2-\frac{1}{2}f''(\eta )(x)^2,$
                 即
                                  $f'(x)=f(1)-f(0)-\frac{1}{2}f''(\xi )(1-x)^2+\frac{1}{2}f''(\eta )(x)^2\leq f(1)-f(0)+\frac{1}{2}f''(\eta )(x)^2,$

                                  $\therefore |f'(x)|\leq |f(1)|+|f(0)|+|\frac{1}{2}f''(\eta )(x)^2|< 1+1+\frac{1}{2}=\frac{5}{2}.$


二维码

扫码加我 拉你入群

请注明:姓名-公司-职位

以便审核进群资格,未注明则拒绝

2019-8-21 20:55:47
电子科技大学2019年数学分析考研试题
dz8.png

证明:由已知
                            $x\in[0,+\infty ),a> 1$

                            $\because |\frac{x^n}{e^{an}}|\rightarrow 0,(n \to \infty )$

           与$x$无关,因此,原级数一致收敛。






二维码

扫码加我 拉你入群

请注明:姓名-公司-职位

以便审核进群资格,未注明则拒绝

栏目导航
热门文章
推荐文章

说点什么

分享

扫码加好友,拉您进群
各岗位、行业、专业交流群