全部版块 我的主页
论坛 提问 悬赏 求职 新闻 读书 功能一区 学道会
763 3
2019-07-17
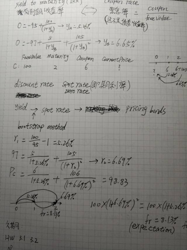
金融经济学:利率和债券分析 tmp_126e44923c6a31fe7fe4066a4ae34dff43c0658f0b561b2f.jpg
二维码

扫码加我 拉你入群

请注明:姓名-公司-职位

以便审核进群资格,未注明则拒绝

全部回复
2019-7-17 08:31:29
学习笔记奖!
二维码

扫码加我 拉你入群

请注明:姓名-公司-职位

以便审核进群资格,未注明则拒绝

2019-7-26 14:22:25
红色政权8 发表于 2019-7-17 08:24
金融经济学:利率和债券分析
你在学习的课程叫啥?
二维码

扫码加我 拉你入群

请注明:姓名-公司-职位

以便审核进群资格,未注明则拒绝

2019-7-26 19:43:07
徐高老师的金融经济学二十五讲
二维码

扫码加我 拉你入群

请注明:姓名-公司-职位

以便审核进群资格,未注明则拒绝

相关推荐
栏目导航
热门文章
推荐文章

说点什么

分享

扫码加好友,拉您进群
各岗位、行业、专业交流群