经管之家App
让优质教育人人可得
立即打开
全部版块
我的主页
›
论坛
›
数据科学与人工智能
›
数据分析与数据科学
›
MATLAB等数学软件专版
deap结果
楼主
小腾腾liu
658
2
收藏
2019-07-20
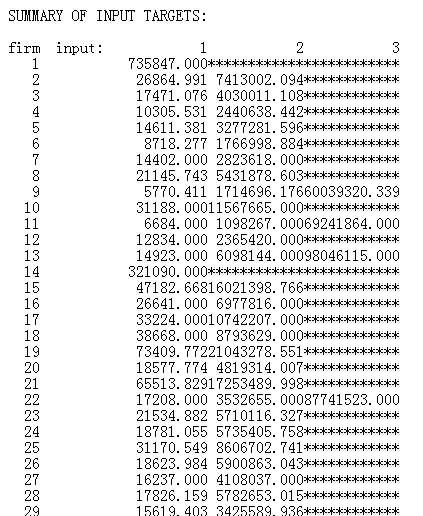
在deap2.1 的
数据分析
中,为什么得出来的目标值带有*一直解决不了,求大神指导
扫码加我 拉你入群
请注明:姓名-公司-职位
以便审核进群资格,未注明则拒绝
全部回复
沙发
小腾腾liu
2019-7-20 16:06:13
QQ1015415507,求大神帮助
扫码加我 拉你入群
请注明:姓名-公司-职位
以便审核进群资格,未注明则拒绝
藤椅
小腾腾liu
2019-7-20 16:06:16
QQ1015415507,求大神帮助
扫码加我 拉你入群
请注明:姓名-公司-职位
以便审核进群资格,未注明则拒绝
相关推荐
关于DEAP的使用
DEAP中距离函数的计算
DeaP2.1分析结果中出现了inf和NAN,原因是什么
求DEAP2.1软件
哪位大神会DEAP进行DEA帮我做下数据分析
有哪位大师懂deap2.1?
DEAP 2.1 程序
DEAP数据分析
求求求deap
关于DEAP 2.1测算出来的效率
栏目导航
MATLAB等数学软件专版
SAS专版
SPSS论坛
EViews专版
R语言论坛
行业分析报告
热门文章
表格结构数据特征与CDA数据分析师:精准适配 ...
2025全球人工智能技术应用洞察报告
【中国电信】2025年云计算研究白皮书
奇瑞QQ焕新归来
普华永道 - 中国影响力报告2025
房地产行业:2026年,年轻人应该先买车还是 ...
【24更新,自用整理!】2007-2024省级环境保护 ...
CDA数据分析脱产就业班于2026年3月7日开班! ...
表格结构数据的核心特征及具象实例解析
湖南统计年鉴2025(Excel版)
推荐文章
2026JG学术冬训营:从Stata初高到Python机器 ...
【必看】【本版版规,欢迎发悬赏贴求助】
26年寒假天津站|Gemini论文写作&数据分析 ...
关于如何利用文献的若干建议
关于学术研究和论文发表的一些建议
关于科研中如何学习基础知识的一些建议 (一 ...
一个自编的经济学建模小案例 --写给授课本科 ...
AI智能体赋能教学改革: 全国AI教育教学应用 ...
2025中国AIoT产业全景图谱报告-406页
关于文献求助的一些建议
说点什么
分享
微信
QQ空间
QQ
微博
扫码加好友,拉您进群
各岗位、行业、专业交流群