经管之家App
让优质教育人人可得
立即打开
全部版块
我的主页
›
论坛
›
提问 悬赏 求职 新闻 读书 功能一区
›
学道会
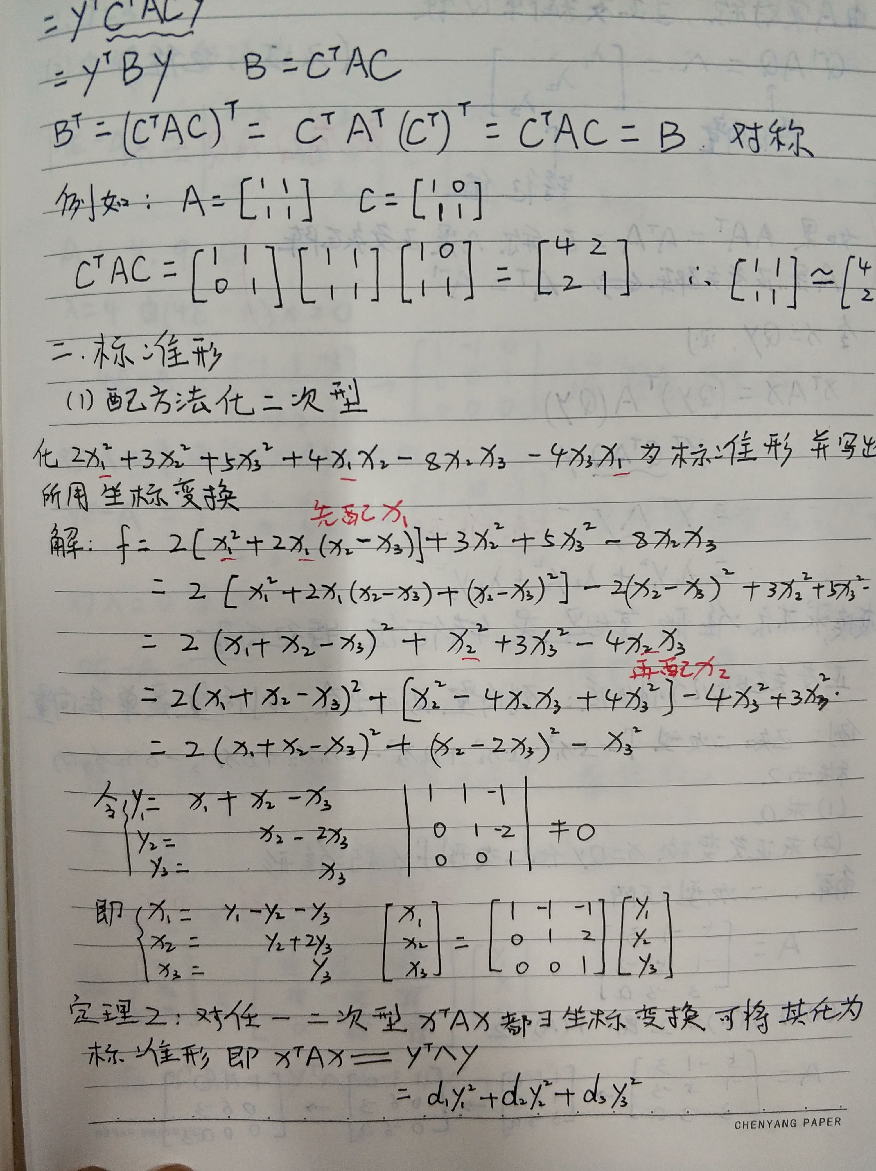
【学习笔记】实对称矩阵和二次型
楼主
红色政权8
518
3
收藏
2019-09-03
实对称矩阵和二次型
附件列表
tmp_ba8db53df80bbfedbfbe44857d024ac281a4fbc9981e429d.jpg
原图尺寸 65.81 KB
扫码加我 拉你入群
请注明:姓名-公司-职位
以便审核进群资格,未注明则拒绝
全部回复
沙发
sophia615
2019-9-3 08:24:39
手写笔记奖!
扫码加我 拉你入群
请注明:姓名-公司-职位
以便审核进群资格,未注明则拒绝
藤椅
jessie68us
2019-9-3 12:44:04
赞
扫码加我 拉你入群
请注明:姓名-公司-职位
以便审核进群资格,未注明则拒绝
板凳
ccwwccww
2019-9-3 16:01:16
赞
扫码加我 拉你入群
请注明:姓名-公司-职位
以便审核进群资格,未注明则拒绝
相关推荐
【学习笔记】在蓝思的下游供应结构中正在发生两个细微的变化:下游各大核心客 ...
【学习笔记】昨日阅读1小时,本月累计阅1小时 1. 10分钟正念-O 2. 12点前睡觉 ...
【学习笔记】寓褒贬别善恶,三传者有公羊
【学习笔记】签到
【学习笔记】打卡
【学习笔记】读完2018年上半年。我低估了整理5年时间的交易记录的工作量,忙碌 ...
【学习笔记】签到,冲鸭!
【学习笔记】打卡
栏目导航
学道会
宏观经济学
经管文库(原现金交易版)
学术资源/课程/会议/讲座
金融实务版
Stata专版
热门文章
几何(第五卷)[法] M. 贝尔热
几何(第四卷)[法] M. 贝尔热
奇瑞QQ焕新归来
我该如何记住你?智能体记忆系统的演化之路
CDA数据分析脱产就业班于2026年3月7日开班! ...
表格结构数据的核心特征及具象实例解析
伍德里奇计量经济学导论第六版教材PDF
湖南统计年鉴2025(Excel版)
中外历史年代对照表
高效办公—Word零基础教程
推荐文章
2026JG学术冬训营:从Stata初高到Python机器 ...
【必看】【本版版规,欢迎发悬赏贴求助】
26年寒假天津站|Gemini论文写作&数据分析 ...
关于如何利用文献的若干建议
关于学术研究和论文发表的一些建议
关于科研中如何学习基础知识的一些建议 (一 ...
一个自编的经济学建模小案例 --写给授课本科 ...
AI智能体赋能教学改革: 全国AI教育教学应用 ...
2025中国AIoT产业全景图谱报告-406页
关于文献求助的一些建议
说点什么
分享
微信
QQ空间
QQ
微博
扫码加好友,拉您进群
各岗位、行业、专业交流群