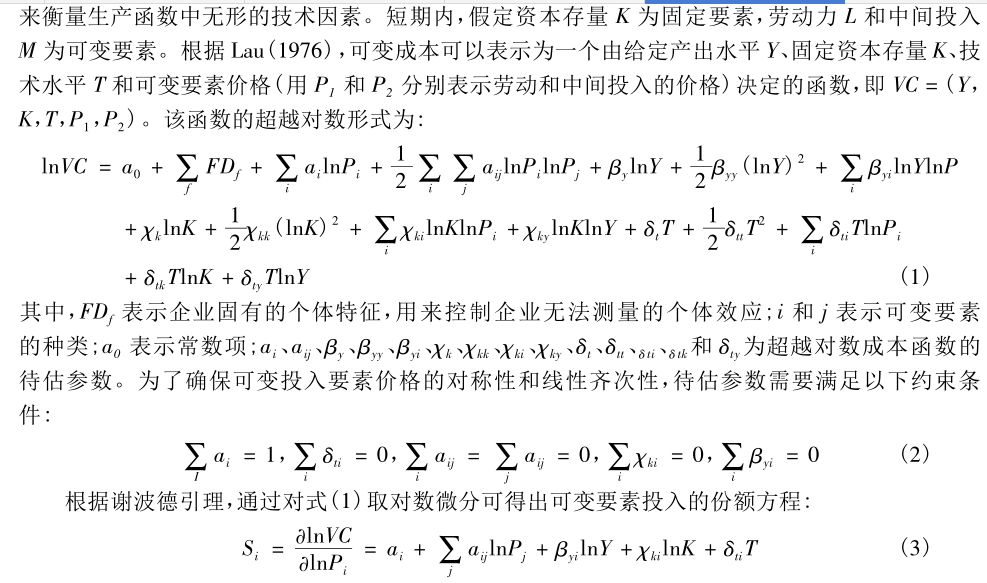
将要做的似不相关回归包含三个方程,如图中所示(1)(2)(3)

作为之前从没接触过Stata软件的小白,目前做到的是:
(1)将个体变量(id)由字符型转化为数值型,
(2)设置好时间变量(t)和个体变量(idd)
(3)图片中公式2的约束条件为:
根据黄老师的帖子学到了怎么上传数据,按照陈强老师书中变系数的似不相关回归需要将面板数据由长形转为宽形,
但我的数据条数由近六万条,转换时候会报错,上传每年数据的前5条以供参考,主要问题是如何在Stata中表达出来图中的公式3,求偏导用margins命令是没错,但偏导之后求得的数值为一个固定值,无法作为一个方程放进似不相关回归方程中。思考学习多日,无果。望各位老师不吝指教啊!
数据如下: