经管之家App
让优质教育人人可得
立即打开
全部版块
我的主页
›
论坛
›
提问 悬赏 求职 新闻 读书 功能一区
›
学道会
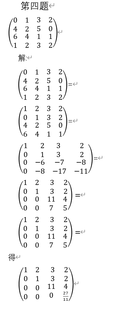
【学习笔记】9-10作业!
楼主
lucia-tutu
269
0
收藏
2019-09-10
9-10作业!
附件列表
tmp_5777996010a63b77ff909e3b4bad0e72384bf073cdf49ff5.jpg
原图尺寸 12.11 KB
扫码加我 拉你入群
请注明:姓名-公司-职位
以便审核进群资格,未注明则拒绝
相关推荐
【学习笔记】GBDT梯度提升决策树
【学习笔记】天佑中华,福泽绵长; 天佑人民,幸福安康。
【学习笔记】今日的译文!
【学习笔记】可以
【学习笔记】打卡
【学习笔记】一个人的快乐,不是因为他拥有的多,而是因为他计较的少。
栏目导航
学道会
经管文库(原现金交易版)
产业经济学
行业分析报告
文献求助专区
stata专版
热门文章
AI4S回归白盒符号主义,清华等联合发布SR-L ...
CDA Level III 认证考试大纲重磅更新并启用 ...
荷兰国际集团: 2026年的大宗商品行情展望— ...
道氏理论大师杰作,股市技术分析领域的奠基 ...
【福利帖】元旦快乐
NewsWeek 2025年终特刊——图说美国250年
展望2026:学术智能体即将崛起?
CDA数据分析师:以数据思维赋能企业管理,驱 ...
CDA全国考点信息一览(更新于2025年12月10日 ...
CDA数据分析脱产就业班于2025年12月08日开班 ...
推荐文章
12月武汉站|Deepseek辅助论文写作与数据分 ...
2026JG学术冬训营:从Stata初高到Python机器 ...
关于如何利用文献的若干建议
关于学术研究和论文发表的一些建议
关于科研中如何学习基础知识的一些建议 (一 ...
一个自编的经济学建模小案例 --写给授课本科 ...
AI智能体赋能教学改革: 全国AI教育教学应用 ...
2025中国AIoT产业全景图谱报告-406页
关于文献求助的一些建议
几种免费下载文献的方法----我的文献应助经
说点什么
分享
微信
QQ空间
QQ
微博
扫码加好友,拉您进群
各岗位、行业、专业交流群